【药物名称】Neramexane hydrochloride, MRZ-2/279, MRZ-2/579
化学结构式(Chemical Structure):
参考文献No.56604
标题:1-Amino-alkylcyclohexane NMDA receptor antagonists
作者:Kalvinsh, I.; Gold, M.; Parsons, C.G.R.; Jirgensons, A.; Klauss, V. (Merz Pharmaceuticals GmbH)
来源:JP 2002511873; WO 9901416
合成路线图解说明:

Addition of methylmagnesium iodide to 3,3,5,5-tetramethylcyclohexanone (I) produced the tertiary alcohol (II). Subsequent treatment of alcohol (II) with hydrazoic acid in the presence of TiCl4 gave azide (III). This was then reduced with LiAlH4 to the corresponding amine, which was isolated as the hydrochloride salt.

参考文献No.689046
标题:A practical synthesis of tert-alkylamines via the Ritter reaction with chloroacetonitrile
作者:Jirgensons, A.; et al.
来源:Synthesis (Stuttgart) 2000,(12),1709
合成路线图解说明:

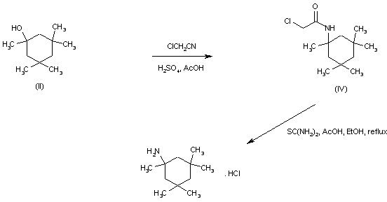
In an alternative method, the Ritter reaction of alcohol (II) with chloroacetonitrile in the presence of H2SO4 yielded the chloroacetamide (IV). This was then hydrolyzed to the desired amine by treatment with thiourea in HOAc-EtOH.

参考文献No.689047
标题:Synthesis and structure-affinity relationships of 1,3,5-alkylsubstituted cyclohexylamines binding at NMDA receptor PCP site
作者:Jirgensons, A.; Kauss, V.; Kalvinsh, I.Ya.; Gold, M.R.; Danysz, W.; Parsons, C.G.; Quack, G.
来源:Eur J Med Chem 2000,35(6),555
合成路线图解说明:

Addition of methylmagnesium iodide to 3,3,5,5-tetramethylcyclohexanone (I) produced the tertiary alcohol (II). Subsequent treatment of alcohol (II) with hydrazoic acid in the presence of TiCl4 gave azide (III). This was then reduced with LiAlH4 to the corresponding amine, which was isolated as the hydrochloride salt.

Drug Information Express,Drug R&D,Chemical Database,Patent Search.
Copyright © 2006-2026 Drug Future. All rights reserved.Contact Us