【药物名称】
化学结构式(Chemical Structure):
参考文献No.37531
标题:Quinoline derivs., having in particular antiviral properties, preparation and biological applications thereof
作者:Desmaele, D.; Auclair, C.; D'Angelo, J.; Subra, F.; Mouscadet, J.-F.; Mekouar, K. (CNRS (Centre National de la Recherche Scientifique))
来源:WO 9845269
合成路线图解说明:

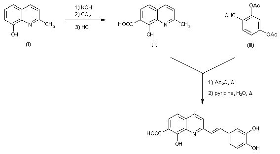
8-Hydroxyquinaldine (I) reacts with KOH in refluxing toluene. Treatment with CO2 and acidification with HCl then affords carboxylic acid (II). Condensation of 8-hydroxy-7-quinaldic acid (II) with 3,4-diacetoxybenzaldehyde (III) in refluxing acetic anhydride (Ac2O) followed by treatment with a refluxing mixture of pyridine/H2O affords the desired product.

参考文献No.559091
标题:Styrylquinoline derivatives: A new class of potent HIV-1 integrase inhibitors that block HIV-1 replication in CEM cells
作者:Mekouar, K.; Mouscadet, J.-F.; Desma雔e, D.; Subra, F.; Leh, H.; Savoure, D.; Auclair, C.; D'Angelo, J.
来源:J Med Chem 1998,41(15),2846
合成路线图解说明:

8-Hydroxyquinaldine (I) reacts with KOH in refluxing toluene. Treatment with CO2 and acidification with HCl then affords carboxylic acid (II). Condensation of 8-hydroxy-7-quinaldic acid (II) with 3,4-diacetoxybenzaldehyde (III) in refluxing acetic anhydride (Ac2O) followed by treatment with a refluxing mixture of pyridine/H2O affords the desired product.

参考文献No.574799
标题:Structure-activity relationships and binding mode of styrylquinolines as potent inhibitors of HIV-1 integrase and replication of HIV-1 in cell culture
作者:Zouhiri, F.; Mouscdet, J.F.; Mekouar, K.; Desma雔e, D.; Savour? D.; Leh, H.; Subra, F.; Le Bret, M.; Auclair, C.; D'Angelo, J.
来源:J Med Chem 2000,43(8),1533
合成路线图解说明:

8-Hydroxyquinaldine (I) reacts with KOH in refluxing toluene. Treatment with CO2 and acidification with HCl then affords carboxylic acid (II). Condensation of 8-hydroxy-7-quinaldic acid (II) with 3,4-diacetoxybenzaldehyde (III) in refluxing acetic anhydride (Ac2O) followed by treatment with a refluxing mixture of pyridine/H2O affords the desired product.

Drug Information Express,Drug R&D,Chemical Database,Patent Search.
Copyright © 2006-2026 Drug Future. All rights reserved.Contact Us