【药物名称】WHI-05
化学结构式(Chemical Structure):
参考文献No.40652
标题:AZT derivs. exhibiting spermicidal and anti-viral activity
作者:Uckun, F.M.; Venkatachalam, T.; D'Cruz, O. (Parker Hughes Institute)
来源:WO 9948902
合成路线图解说明:

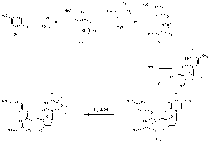
Treatment of 4-bromophenol (I) with phosphoryl chloride gave p-bromophenyl phosphoro- dichloridate (II), which was condensed with alanine methyl ester (III) to furnish alaninyl phosphorochloridate (IV). Further coupling of (IV) with 3'-azidothimidine (V) in the presence of N-methylimidazole afforded phosphate (VI). Then, addition of methyl hypobromite, (prepared from bromine and MeOH) provided the title compound as a diastereomeric mixture.

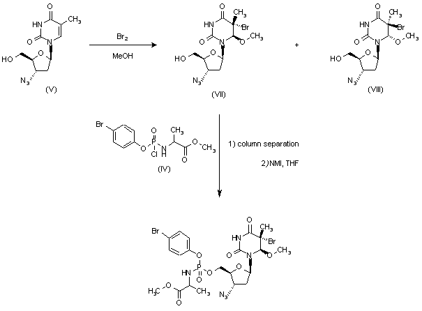
合成路线图解说明:

In a related procedure, methyl hypobromite was added to 3'-azidothimidine (V) in MeOH, and the resulting mixture of diastereomeric 5-bromo-6-methoxypyrimidines (VII) and (VIII) was separated by column chromatography. Both the (5R,6R)- and the (5S,6S)-isomers (VII) and (VIII) were then coupled to phosphorochloridate (IV) to yield the title compound as seperated enantiomers.

合成路线图解说明:

The reaction of 4-methoxyphenol (I) with POCl3 and triethylamine in ethyl ether gives the dichlorophosphate (II), which is condensed with alanine methyl ester (III) by means of triethylamine in dichloromethane yielding the amide (IV). The condensation of (IV) with azidothymidine (V) by means of N-methylimidazole (NMI) in THF affords the 5'-phosphate derivative (VI), which is finally treated with methyl hypobromite (Br2 in methanol).

Drug Information Express,Drug R&D,Chemical Database,Patent Search.
Copyright © 2006-2026 Drug Future. All rights reserved.Contact Us