【药物名称】FR-190809
化学结构式(Chemical Structure):
参考文献No.476307
标题:Inhibitors of acyl-CoA:cholesterol O-acyltransferase. 3. Discovery of a novel series of N-alkyl-N-[(fluorophenoxy)benzyl]-N'-arylureas with weak toxicological effects on adrenal glands
作者:Tanaka, A.; Terasawa, T.; Hagihara, H.; Ishibe, N.; Sawada, M.; Sakuma, Y.; Hashimoto, M.; Takasugi, H.; Tanaka, H.
来源:J Med Chem 1998,41(22),4408
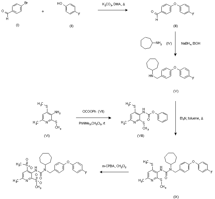
合成路线图解说明:

Condensation of 4-bromobenzaldehyde (I) with 4-fluorophenol (II) in the presence of K2CO3 in refluxing dimethylacetamide gave ether (III). Subsequent reductive amination of (III) with cycloheptylamine (IV) using ethanolic NaBH4 afforded secondary amine (V). Phenyl carbamate (VIII) was obtained by treatment of aminopyridine (VI) with phenyl chloroformate (VII) and dimethylaniline. Condensation of this carbamate with amine (V) in the presence of Et3N in refluxing toluene furnished urea (IX) (1). Both sulfide groups of (IX) were finally oxidized to sulfone using meta-chloroperbenzoic acid in CH2Cl2.

Drug Information Express,Drug R&D,Chemical Database,Patent Search.
Copyright © 2006-2026 Drug Future. All rights reserved.Contact Us