【药物名称】
化学结构式(Chemical Structure):
参考文献No.17256
标题:Heterocyclic cpds. and their preparation and use
作者:Sauerberg, P.; Olesen, P.H. (Novo Nordisk A/S)
来源:EP 0544779; JP 1994500542; US 5260314; US 5418240; US 5527813; US 5578602; WO 9203433
合成路线图解说明:

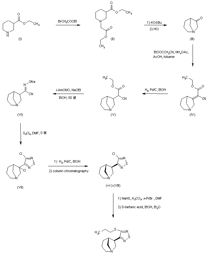
Alkylation of ethyl nipecotate (I) with ethyl bromoacetate gave diester (II). Subsequent Dieckmann cyclization of (II) with t-BuOK, followed by acid decarboxylation afforded azabicyclo[3.2.1]octane-6-one (III). Knoevenagel condensation of (III) with ethyl cyanoacetate afforded unsaturated cyano ester (IV), which was hydrogenated over Pd/C to provide (V). Nitrosation of (V) with isoamyl nitrite in the presence of NaOEt gave the hydroxymino nitrile (VI). This was treated with S2Cl2 in cold DMF to generate the thiadiazole (VII). Hydrogenolysis of the 6-chloro of (VII) provided a mixture of isomers, from which the exo compound (VIII) was isolated by column chromatography. The required butyl thioether was then obtained by reaction with sodium hydrosulfide and n-butyl bromide in DMF. Finally, resolution with D-tartaric acid yielded the title (5R,6R) enantiomer.

合成路线图解说明:

Alkylation of ethyl nipecotate (I) with ethyl bromoacetate gave diester (II). Subsequent Dieckmann cyclization of (II) with t-BuOK, followed by acid decarboxylation afforded azabicyclo[3.2.1]octane-6-one (III). Knoevenagel condensation of (III) with ethyl cyanoacetate afforded unsaturated cyano ester (IV), which was hydrogenated over Pd/C to provide (V). Nitrosation of (V) with isoamyl nitrite in the presence of NaOEt gave the hydroxymino nitrile (VI). This was treated with S2Cl2 in cold DMF to generate the thiadiazole (VII). Hydrogenolysis of the 6-chloro of (VII) provided a mixture of isomers, from which the exo compound (VIII) was isolated by column chromatography. The required propyl thioether was then obtained by reaction with sodium hydrosulfide and n-propyl bromide in DMF. Finally, resolution with D-tartaric acid yielded the title (5R,6R) enantiomer.

合成路线图解说明:

Alkylation of ethyl nipecotate (I) with ethyl bromoacetate gave diester (II). Subsequent Dieckmann cyclization of (II) with t-BuOK, followed by acid decarboxylation afforded azabicyclo[3.2.1]octane-6-one (III). Knoevenagel condensation of (III) with ethyl cyanoacetate afforded unsaturated cyano ester (IV), which was hydrogenated over Pd/C to provide (V). Nitrosation of (V) with isoamyl nitrite in the presence of NaOEt gave the hydroxymino nitrile (VI). This was treated with S2Cl2 in cold DMF to generate the thiadiazole (VII). Hydrogenolysis of the 6-chloro of (VII) provided a mixture of isomers, from which the exo compound (VIII) was isolated by column chromatography. The required propyl thioether was then obtained by reaction with sodium hydrosulfide and n-propyl bromide in DMF. Finally, resolution with L-tartaric acid yielded the title (5S,6S) enantiomer.

参考文献No.403865
标题:Muscarinic analgesics with potent and selective effects on the gastrointestinal tract: Potential application for the treatment of irritable bowel syndrome
作者:Mitch, C.H.; Brown, T.J.; Bymaster, F.P.; Calligaro, D.O.; Dieckman, D.; Merrit, L.; Peters, S.C.; Quimby, S.J.; Shannon, H.E.; Shipley, L.A.; Ward, J.S.; Hansen, K.; Olesen, P.H.; Sauerberg, P.; Sheardown, M.J.; Swedberg, M.D.; Suzdak, P.D.; Greenwood, B
来源:J Med Chem 1997,40(4),538
合成路线图解说明:

Alkylation of ethyl nipecotate (I) with ethyl bromoacetate gave diester (II). Subsequent Dieckmann cyclization of (II) with t-BuOK, followed by acid decarboxylation afforded azabicyclo[3.2.1]octane-6-one (III). Knoevenagel condensation of (III) with ethyl cyanoacetate afforded unsaturated cyano ester (IV), which was hydrogenated over Pd/C to provide (V). Nitrosation of (V) with isoamyl nitrite in the presence of NaOEt gave the hydroxymino nitrile (VI). This was treated with S2Cl2 in cold DMF to generate the thiadiazole (VII). Hydrogenolysis of the 6-chloro of (VII) provided a mixture of isomers, from which the exo compound (VIII) was isolated by column chromatography. The required butyl thioether was then obtained by reaction with sodium hydrosulfide and n-butyl bromide in DMF. Finally, resolution with D-tartaric acid yielded the title (5R,6R) enantiomer.

合成路线图解说明:

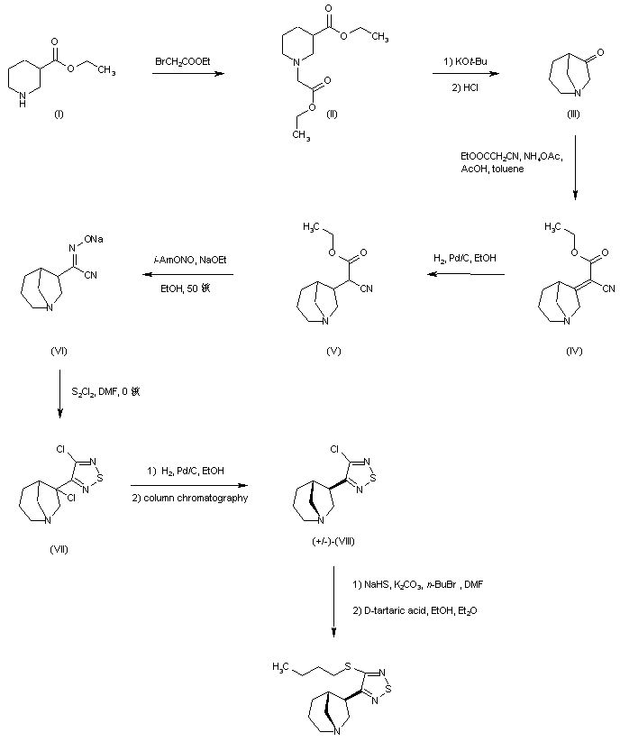
Alkylation of ethyl nipecotate (I) with ethyl bromoacetate gave diester (II). Subsequent Dieckmann cyclization of (II) with t-BuOK, followed by acid decarboxylation afforded azabicyclo[3.2.1]octane-6-one (III). Knoevenagel condensation of (III) with ethyl cyanoacetate afforded unsaturated cyano ester (IV), which was hydrogenated over Pd/C to provide (V). Nitrosation of (V) with isoamyl nitrite in the presence of NaOEt gave the hydroxymino nitrile (VI). This was treated with S2Cl2 in cold DMF to generate the thiadiazole (VII). Hydrogenolysis of the 6-chloro of (VII) provided a mixture of isomers, from which the exo compound (VIII) was isolated by column chromatography. The required propyl thioether was then obtained by reaction with sodium hydrosulfide and n-propyl bromide in DMF. Finally, resolution with D-tartaric acid yielded the title (5R,6R) enantiomer.

合成路线图解说明:

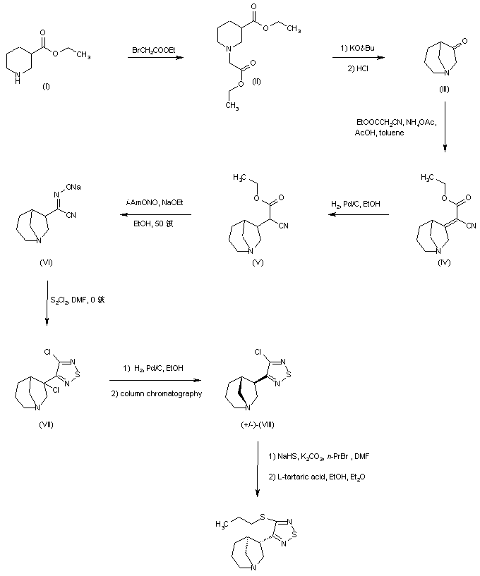
Alkylation of ethyl nipecotate (I) with ethyl bromoacetate gave diester (II). Subsequent Dieckmann cyclization of (II) with t-BuOK, followed by acid decarboxylation afforded azabicyclo[3.2.1]octane-6-one (III). Knoevenagel condensation of (III) with ethyl cyanoacetate afforded unsaturated cyano ester (IV), which was hydrogenated over Pd/C to provide (V). Nitrosation of (V) with isoamyl nitrite in the presence of NaOEt gave the hydroxymino nitrile (VI). This was treated with S2Cl2 in cold DMF to generate the thiadiazole (VII). Hydrogenolysis of the 6-chloro of (VII) provided a mixture of isomers, from which the exo compound (VIII) was isolated by column chromatography. The required propyl thioether was then obtained by reaction with sodium hydrosulfide and n-propyl bromide in DMF. Finally, resolution with L-tartaric acid yielded the title (5S,6S) enantiomer.

Drug Information Express,Drug R&D,Chemical Database,Patent Search.
Copyright © 2006-2026 Drug Future. All rights reserved.Contact Us