【药物名称】RWJ-68354
化学结构式(Chemical Structure):
参考文献No.476295
标题:6-Amino-2-(4-fluorophenyl)-4-methoxy-3-(4-pyridyl)
作者:Henry, J.R.; Rupert, K.C.; Dodd, J.H.; Turchi, I.J.; Wadsworth, S.A.; Cavender, D.E.; Fahmy, B.; Olini, G.C.; Davis, J.E.; Pellegrino-Gensey, J.L.; Schafer, P.H.; Siekierka, J.J.
来源:J Med Chem 1998,41(22),4196
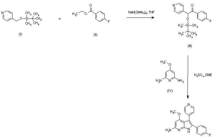
合成路线图解说明:

Condensation of 4-(tert-butyldimethylsilyloxymethyl)pyridine (I) with ethyl 4-fluorobenzoate (II) using NaHMDS gave the silyloxyketone (III). Then, cyclization of (III) with 2,6-diamino-4-methoxypyridine (IV) in the presence of H2SO4 in refluxing dimethoxyethane provided the target pyrrolopyridine.

Drug Information Express,Drug R&D,Chemical Database,Patent Search.
Copyright © 2006-2026 Drug Future. All rights reserved.Contact Us