【药物名称】Caproctamine
化学结构式(Chemical Structure):
参考文献No.476292
标题:Acetylcholinesterase noncovalent inhibitors based on a polyamine backbone for potential use against Alzheimer's disease
作者:Melchiorre, C.; Andrisano, V.; Bolognesi, M.L.; Budriesi, R.; Cavalli, A.; Cavrini, V.; Rosini, M.; Turmiatti, V.; Recanatini, M.
来源:J Med Chem 1998,41(22),4186
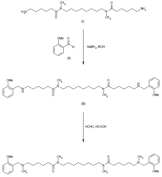
合成路线图解说明:

Reductive condensation of diamine diamide (I) with 2-methoxybenzaldehyde (II) in the presence of NaBH4 provided the corresponding bis(2-methoxybenzyl) derivative (III). Then, Eschweiler-Clarke methylation using formaldehyde and formic acid provided the title compound.

Drug Information Express,Drug R&D,Chemical Database,Patent Search.
Copyright © 2006-2026 Drug Future. All rights reserved.Contact Us