【药物名称】
化学结构式(Chemical Structure):
参考文献No.476291
标题:Synthesis and modeling studies of a potent conformationally rigid muscarinic agonist: 1-Azabicyclo[2.2.1]heptanespirofuranone
作者:Wu, E.S.C.; Kover, A.; Semus, S.F.
来源:J Med Chem 1998,41(22),4181
合成路线图解说明:

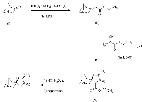
The Horner-Emmons reaction of 1-azabicyclo[2.2.1]heptan-3-one (I) with triethyl phosphonoacetate (II) gave conjugated ester (III). Subsequent Michael addition of the oxyanion of ethyl (S)-lactate (IV), generated in the presence of NaH in DMF, with concomitant Dieckmann cyclization, produced ketoester (V). Then, hydrolysis and decarboxylation in boiling 1 N HCl, followed by separation of the syn and anti isomers, yielded the title compound.

Drug Information Express,Drug R&D,Chemical Database,Patent Search.
Copyright © 2006-2026 Drug Future. All rights reserved.Contact Us