【药物名称】PDP, CC-1069
化学结构式(Chemical Structure):
参考文献No.41879
标题:Ring closure of N-phthaloylglutamines
作者:Muller, G.W. (Celgene Corp.)
来源:EP 1004572; EP 1004580; US 5463063; WO 9501348
合成路线图解说明:

Condensation of veratraldehyde (I) with malonic acid and ammonium acetate in refluxing EtOH afforded 3-amino-3-(3,4-dimethoxyphenyl)propionic acid (II). The N-phthaloyl group was introduced in (II) by treatment with N-carbethoxyphthalimide (III) in the presence of Na2CO3. The resulting phthalimido acid (IV) was converted to the title amide via activation with carbonyl diimidazole, followed by treatment with ammonium hydroxide.

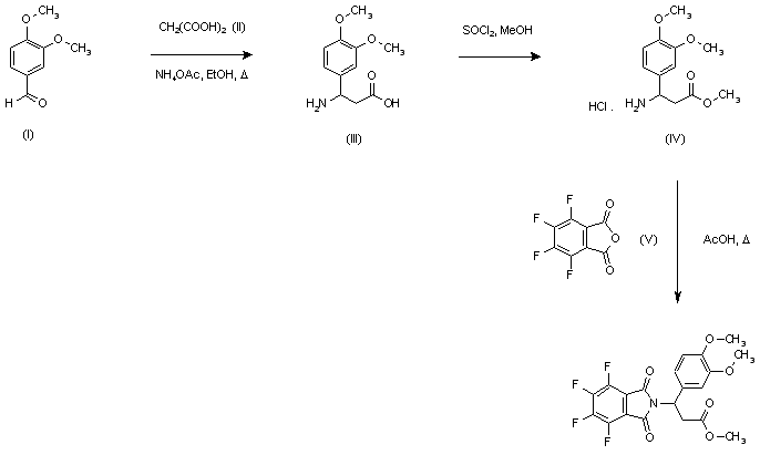
参考文献No.477013
标题:Thalidomide analogs and PDE4 inhibition
作者:Muller, G.W.; Shire, M.G.; Wong, L.M.; Corral, L.G.; Patterson, R.T.; Chen, Y.; Stirling, D.I.
来源:Bioorg Med Chem Lett 1998,8(19),2669
合成路线图解说明:

Condensation of 3,4-dimethoxybenzaldehyde (I) with malonic acid (II) in the presence of ammonium acetate afforded 3-amino-arylpropionic acid (III), which was esterified with MeOH and SOCl2 to give (IV). Finally, condensation with tetrafluorophthalic anhydride (V) in refluxing AcOH provided the target phthalimide.

合成路线图解说明:

Condensation of veratraldehyde (I) with malonic acid and ammonium acetate in refluxing EtOH afforded 3-amino-3-(3,4-dimethoxyphenyl)propionic acid (II). The N-phthaloyl group was introduced in (II) by treatment with N-carbethoxyphthalimide (III) in the presence of Na2CO3. The resulting phthalimido acid (IV) was converted to the title amide via activation with carbonyl diimidazole, followed by treatment with ammonium hydroxide.

参考文献No.563915
标题:Structural modifications of thalidomide produce analogs with enhanced tumor necrosis factor inhibitory activity
作者:Muller, G.W.; Corral, L.G.; Shire, M.G.; Wang, H.; Moreira, A.; Kaplan, G.; Stirling, D.I.
来源:J Med Chem 1996,39(17),3238
合成路线图解说明:

Condensation of veratraldehyde (I) with malonic acid and ammonium acetate in refluxing EtOH afforded 3-amino-3-(3,4-dimethoxyphenyl)propionic acid (II). The N-phthaloyl group was introduced in (II) by treatment with N-carbethoxyphthalimide (III) in the presence of Na2CO3. The resulting phthalimido acid (IV) was converted to the title amide via activation with carbonyl diimidazole, followed by treatment with ammonium hydroxide.

参考文献No.660805
标题:Effects of thalidomide and 3-phthalimido-3-(3,4-dimethoxyphenyl)-propanamide on bile duct obstruction-induced cirrhosis in the rat
作者:Fernandez-Martinez, E.; et al.
来源:Drug Dev Res 2001,54(4),209
合成路线图解说明:

Condensation of veratraldehyde (I) with malonic acid and ammonium acetate in refluxing EtOH afforded 3-amino-3-(3,4-dimethoxyphenyl)propionic acid (II). The N-phthaloyl group was introduced in (II) by treatment with N-carbethoxyphthalimide (III) in the presence of Na2CO3. The resulting phthalimido acid (IV) was converted to the title amide via activation with carbonyl diimidazole, followed by treatment with ammonium hydroxide.

Drug Information Express,Drug R&D,Chemical Database,Patent Search.
Copyright © 2006-2026 Drug Future. All rights reserved.Contact Us