【药物名称】L-779976
化学结构式(Chemical Structure):
参考文献No.37515
标题:Somatostatin agonists
作者:Patchett, A.A.; Yang, L.; Pasternak, A.; Berk, S. (Merck & Co., Inc.)
来源:EP 1023061; US 6057338; WO 9844921
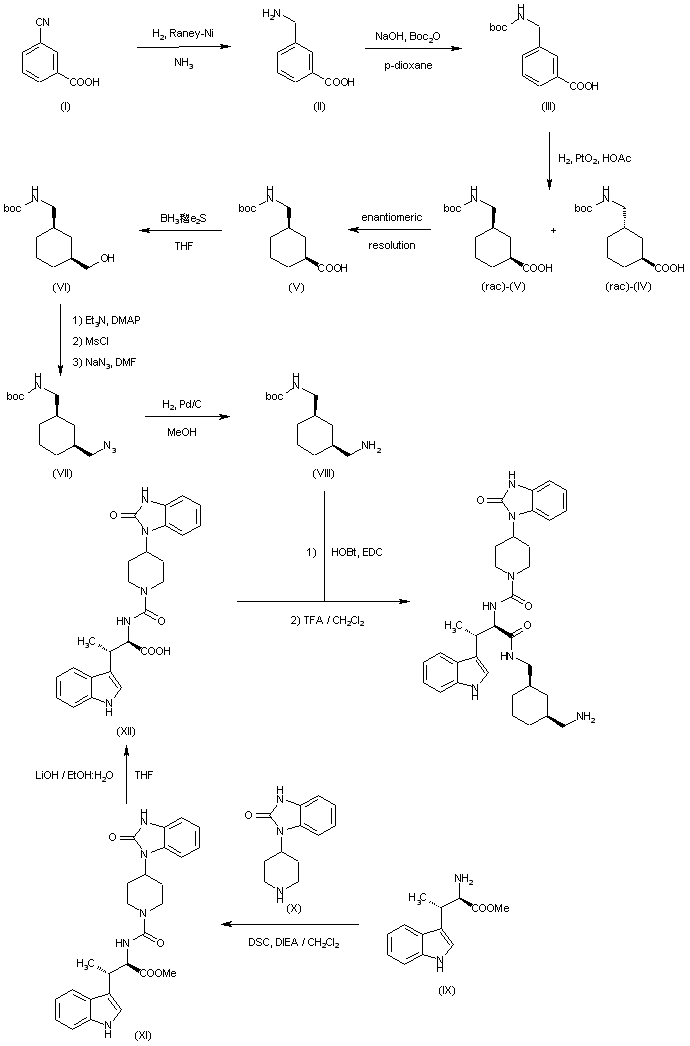
合成路线图解说明:

Synthesis of intermediate (VIII): Hydrogenation of m-cyanobenzoic acid (I) with H2 over Raney-Ni in ammonia gives amine (II), which is treated with Boc2O and NaOH in dioxane to provide protected amine (III). Reduction of (III) by means of PtO2 and H2 in acetic acid yields a 10:1 mixture of cis/trans ciclohexane derivatives (rac)-(IV)/(rac)-(V). The racemic cis compound obtained is enantiomerically resolved and stereomer (V) is then reduced with BH3.Me2S in THF providing alcohol (VI), which is converted into azide (VII) after treatment with NaN3 in DMF of the mesylate derivative obtained by treatment of (VI) with Et3N, DMAP and MsCl. Finally amino derivative (VIII) is obtained by hydrogenation of azide (VII) over Pd/C in MeOH. Synthesis of intermediate (XII): beta-Methyl-D-tryptophan methyl ester (IX) reacts with piperidine derivative (X) in presence of DSC and DIEA in CH2Cl2 to afford (XI), whose methyl ester is hydrolyzed in THF with LiOH in EtOH/H2O. Synthesis EN 269873: Finally intermediate (XII) is coupled with (VIII) with EDC and HOBt, and the Boc group is removed with TFA in CH2Cl2 to yield the desired product.

Drug Information Express,Drug R&D,Chemical Database,Patent Search.
Copyright © 2006-2026 Drug Future. All rights reserved.Contact Us