【药物名称】RS-113456
化学结构式(Chemical Structure):
参考文献No.38412
标题:Matrix metalloprotease inhibitors
作者:Campbell, J.A.; Bender, S.L.; Broka, C.A.; Sarma, K.; Fisher, L.E.; Castelhano, A.L.; Hendricks, R.T. (Agouron Pharmaceuticals, Inc.; F. Hoffmann-La Roche AG)
来源:EP 0780386
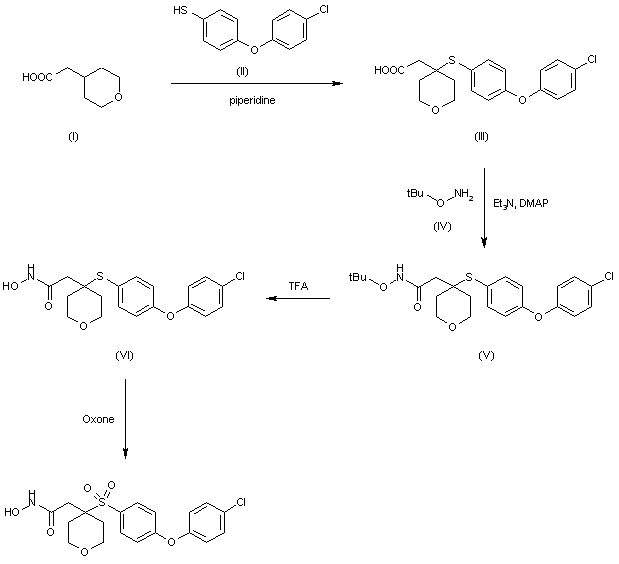
合成路线图解说明:

The condensation of 2-(4-tetrahydropyranyl)acetic acid (I) with 4-(4-chlorophenoxy)thiophenol (II) in piperidine at 100 C gives 2-[4-[4-(4-chlorophenoxy)phenylsulfanyl]tetrahydropyran-4-yl]acetic acid (III), which is treated with O-tert-butylhydroxylamine (IV) and 1-[3-(dimethylamino)propyl]-3-ethylcarbodiimide in dichloromethane yielding th N-(tert-butoxy)amide (V). The deprotection of (V) with trifluoroacetic acid affords the acetohydroxamic acid (VI), which is finally oxidized with oxone to the target sulfone.

Drug Information Express,Drug R&D,Chemical Database,Patent Search.
Copyright © 2006-2026 Drug Future. All rights reserved.Contact Us