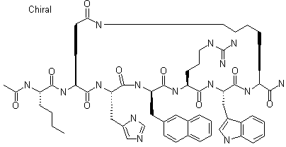
【药物名称】MBX-36, SHU-9119
化学结构式(Chemical Structure):
参考文献No.41902
标题:Peptides having potent antagonist and agonist bioactivities at melanocortin receptors
作者:Hadley, M.E.; Hruby, V.J.; Sharma, S.D. (University of Arizona)
来源:US 5731408
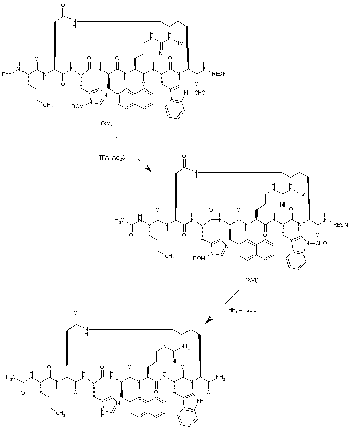
合成路线图解说明:

The peptide was synthesized by a solid-phase method using a p-methylbenzhydrylamine resin to which N1-Boc-N6-Fmoc-L-lysine (I) was coupled giving (II). To this solid phase the following protected amino acids Nalpha-Boc-N1-formyl-L-tryptophan (III), Nalpha-Boc-Nomega-Tos-L-arginine (V), Nalpha-Boc-D-(2-naphthyl)alanine (VII), Nalpha-Boc-Npi-L-histidine (IX) and Nalpha-Boc-Ogamma-Fm-L-aspartic acid (XI) were sequentially coupled yielding resins (IV), (VI), (VIII), (X) and (XII).

合成路线图解说明:

The coupling sequences were continued with Nalpha-Boc-L-norleucine (XIII) to afford resin (XIV). Elimination of the Fmoc and OFm protecting groups of (XIV) was performed with piperidine in NMP allowing the formation of the lactam ring by cyclization with BOP and DIEA in NMP providing the macrocyclic lactam (XV).

合成路线图解说明:

Elimination of the Boc protecting group of (XV) with trifluoroacetic acid followed by acetylation of the free amino group with acetic anhydride yielded resin (XVI) with a terminal acetyl group. Finally, this resin was treated with FH, anisole and dithioethane to complete the deprotection process and elimnate the solid phase resin affornig the target macrocyclic peptide.

参考文献No.524686
标题:Cyclic lactam alpha-melanotropin analogues of Ac-Nle4-cyclo[Asp5, D-Phe7,Lys10] alpha-melanocyte-stimulating hormone-(4-10)-NH2 with bulky aromatic amino acids at position 7 show high antagonist potency and selectivity at specific melanocortin receptors
作者:Hruby, V.J.; Lu, D.; Sharma, S.D.; de L. Castrucci, A.; Kesterson, R.A.; Al-Obeidi, F.A.; Hadley, M.E.; Cone, R.D.
来源:J Med Chem 1995,38(18),3454
合成路线图解说明:

The peptide was synthesized by a solid-phase method using a p-methylbenzhydrylamine resin to which N1-Boc-N6-Fmoc-L-lysine (I) was coupled giving (II). To this solid phase the following protected amino acids Nalpha-Boc-N1-formyl-L-tryptophan (III), Nalpha-Boc-Nomega-Tos-L-arginine (V), Nalpha-Boc-D-(2-naphthyl)alanine (VII), Nalpha-Boc-Npi-L-histidine (IX) and Nalpha-Boc-Ogamma-Fm-L-aspartic acid (XI) were sequentially coupled yielding resins (IV), (VI), (VIII), (X) and (XII).

合成路线图解说明:

The coupling sequences were continued with Nalpha-Boc-L-norleucine (XIII) to afford resin (XIV). Elimination of the Fmoc and OFm protecting groups of (XIV) was performed with piperidine in NMP allowing the formation of the lactam ring by cyclization with BOP and DIEA in NMP providing the macrocyclic lactam (XV).

合成路线图解说明:

Elimination of the Boc protecting group of (XV) with trifluoroacetic acid followed by acetylation of the free amino group with acetic anhydride yielded resin (XVI) with a terminal acetyl group. Finally, this resin was treated with FH, anisole and dithioethane to complete the deprotection process and elimnate the solid phase resin affornig the target macrocyclic peptide.

Drug Information Express,Drug R&D,Chemical Database,Patent Search.
Copyright © 2006-2026 Drug Future. All rights reserved.Contact Us