【药物名称】A-177430
化学结构式(Chemical Structure):
参考文献No.37080
标题:Macrocyclic inhibitors of matrix metalloproteinases and TNFalpha secretion
作者:Sheppard, G.S.; Guo, Y.; Siummers, J.B.; Holms, J.H.; Steinman, D.H.; Michaelides, M.R.; Florjancic, A.S.; Xu, L.; Davidsen, S.K. (Abbott Laboratories Inc.)
来源:EP 1021423; WO 9830551
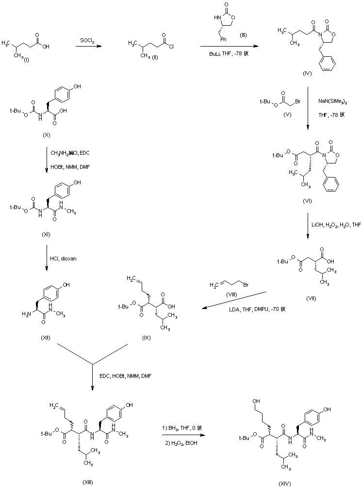
合成路线图解说明:

4-Methylvaleric acid (I) was converted to acid chloride (II) and then condensed with (S)-4-benzyl-2-oxazolidinone (III) to give (IV). Subsequent alkylation of (IV) with tert-butyl bromoacetate (V) in the presence of sodium bis(trimethylsilyl)amide produced the chiral intermediate (VI), which was hydrolyzed with lithium peroxide to yield (R)-2-isobutylsuccinic acid 4-tert-butyl ester (VII). Further alkylation of (VII) with 4-bromo-1-butene (VIII) afforded a 6:1 mixture of syn/anti isobutenyl compounds (IX), which upon isomerization with LDA in THF at -20 C, followed by quenching with MeOH, provided a 1:1.5 mixture of isomers. Condensation of N-Boc-L-tyrosine (X) with methylamine in the presence of EDC and HOBt gave amide (XI). Then, removal of the Boc protecting group with HCl in dioxan yielded tyrosinamide (XII). This was coupled to succinic acid derivative (IX) using EDC and HOBt to afford the corresponding amide (XIII) as an epimeric mixture. Hydroboration of the butenyl double bond, followed by oxidative treatment with H2O2 produced alcohol (XIV).

合成路线图解说明:

Then, cyclization of (XIV) under Mitsunobu conditions furnished macrocyclic ether (XV). The deprotection of (XV) with trifluoroacetic acid yielded carboxylic acid (XVI), which was treated with silyl protected hydroxylamine to afford hydroxamic acid (XVII). The required isomer of (XVII) was isolated using reverse-phase HPLC.

Drug Information Express,Drug R&D,Chemical Database,Patent Search.
Copyright © 2006-2026 Drug Future. All rights reserved.Contact Us