【药物名称】BMS-453
化学结构式(Chemical Structure):
参考文献No.27553
标题:Substd. (5,6)-dihydronaphthalenyl cpds. having retinoid-like activity
作者:Starrett, J.E. Jr.; Yu, K.-L.; Mansuri, M.M.; Tortolani, D.R. (Bristol-Myers Squibb Co.)
来源:CA 2138000; EP 0661259; JP 1995242591; US 5648385
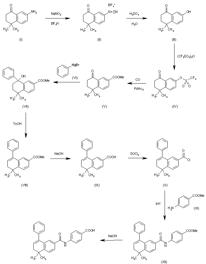
合成路线图解说明:

The reaction of 7-amino-4,4-dimethyl-1,2,3,4-tetrahydronaphthalen-1-one (I) with NaNO2 and BF4H in water gives the corresponding diazo compound (II), which is treated with H2SO4 in refluxing water yielding 7-hydroxy-4,4-dimethyl-1,2,3,4-tetrahydronaphthalen-1-one (III). The reaction of (III) with trifluoromethanesulfonic anhydride in pyridine affords the expected sulfonate (IV), which is carboxylated with CO, PdAc2 and 1,3-bis(diphenylphosphino)propane in methanol/DMSO yielding 5,5-dimethyl-8-oxo-5,6,7,8-tetrahydronaphthalene-2-carboxylic acid methyl ester (V). The Grignard condensation of (V) with phenylmagnesium bromide (VI) in THF affords the corresponding addition product (VII), which is dehydrated with p-toluenesulfonic acid in hot toluene affording the dihydronaphtoic ester (VIII). The hydrolysis of (VIII) with NaOH in ethanol gives the corresponding free acid (IX), which is treated with SOCl2 and DMF yielding the expected acyl chloride (X). The condensation of (X) with methyl 4-aminobenzoate (XI) in pyridine affords the expected amide (XII), which is finally hydrolyzed to the target compound with NaOH in ethanol/water.

合成路线图解说明:

Ethyl levulinate (I) was reacted with one equivalent of methylmagnesium bromide to produce 5,5-dimethyldihydrofuran-2-one (II). Friedel-Crafts condensation of (III) with benzene in the presence of AlCl3 afforded 4,4-dimethyl-1-tetralone (III) which, after nitration and reduction furnished the aminotetralone (V). This was converted to iodide (VI) upon diazotization, followed by treatment with KI. Methyl 4-vinylbenzoate (VIII) was obtained by alkylation of the corresponding carboxylic acid (VII) with MeI in the presence of DBU. Coupling of this olefin (VIII) with iodide (VI) was carried out using palladium diacetate and tetrabutylammonium chloride at 70 C to yield the diaryl ethylene derivative (IX). Subsequent addition of phenylmagnesium bromide to (IX) produced the tertiary alcohol (X). Finally, dehydration of (X) using p-toluenesulfonic acid, followed by basic hydrolysis, provided the title compound.

Drug Information Express,Drug R&D,Chemical Database,Patent Search.
Copyright © 2006-2026 Drug Future. All rights reserved.Contact Us