【药物名称】Gantacurium chloride, AV-430A, GW-0430, GW-280430A
化学结构式(Chemical Structure):
参考文献No.487960
标题:Bis- and mixed-tetrahydroisoquinolinium chlorofumarates: New ultra-short-acting nondepolarizing neuromuscular blockers
作者:Boros, E.E.; Bigham, E.C.; Boswell, G.E.; Mook, R.A. Jr.; Patel, S.S.; Savarese, J.J.; Ray, J.A.; Thompson, J.B.; Hashim, M.A.; Wisowaty, J.C.; Feldman, P.L.; Samano, V.
来源:J Med Chem 1999,42(2),206
合成路线图解说明:

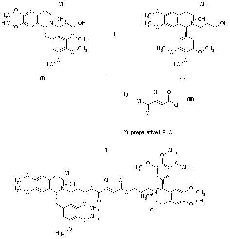
Treatment of chlorofumaryl chloride (III) with a mixture of benzylisoquinolinium salt (I) and phenylisoquinolinium salt (II) in dichloroethane produced a complex mixture of esters, from which the title compound was isolated by preparative HPLC.

参考文献No.672852
标题:Synthesis of ultra-short-acting neuromuscular blocker GW 0430: A remarkably stereo- and regioselective synthesis of mixed tetrahydroisquinolinium chlorofumarates
作者:Samano, V.; Ray, J.A.; Thompson, J.B.; Mook, R.A. Jr.; Jung, D.K.; Koble, C.S.; Martin, M.T.; Bigham, E.C.; Regitz, C.S.; Feldman, P.L.; Boros, E.E.
来源:Org Lett 1999,1(12),1993
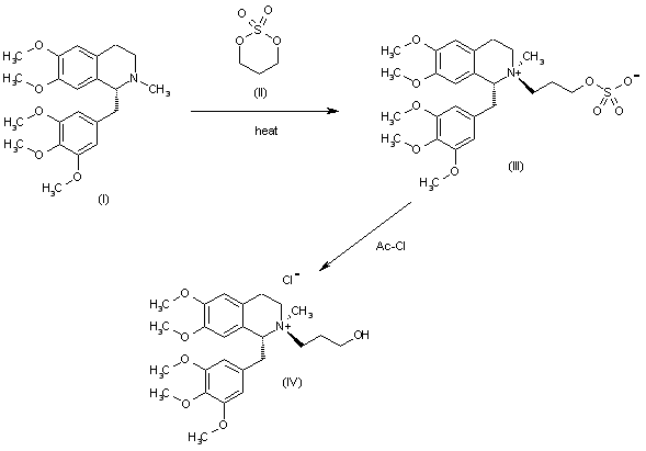
合成路线图解说明:

The reaction of (R)-(-)-5'-methoxylaudanosine (I) with 1,3-dioxa-2-thiane 2,2-dioxide (II) in hot acetone gives the quaternized propylsulfonate (III), which is treated with Ac-Cl in methanol to yield the intermediate isoquinolinium derivative (IV).

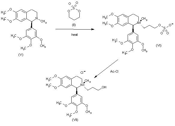
合成路线图解说明:

The reaction of (S)(+)-cryptostyline III (V) with 1,3-dioxa-2-thiane 2,2-dioxide (II) in hot acetonitrile gives the quaternized propylsulfonate (VI), which is treated with Ac-Cl in methanol to yield the intermediate isoquinolinium derivative (VII).

合成路线图解说明:

The reaction of 2,3-dichlorosuccinic anhydride (VIII) with isoquinolinium intermediate (IV) in dichloromethane gives the dichlorosuccinc acid monoester (IX), which is dehydrochlorinated by means of TEA in dichloromethane to yield the chlorofumaric acid monoester (X). The reaction of (X) with oxalyl chloride in the same solvent affords the acyl chloride (XI), which is finally condensed with the isoquinolinium intermediate (VII) in dichloromethane to provide the target bis isoquinolinium compound.

Drug Information Express,Drug R&D,Chemical Database,Patent Search.
Copyright © 2006-2026 Drug Future. All rights reserved.Contact Us