【药物名称】
化学结构式(Chemical Structure):
参考文献No.488730
标题:Synthesis and biological evaluation of 1alpha,24-dihydroxy-25-nitrovitamin D3
作者:Oshida, J.; Okamoto, M.; Ishizuka, S.; Azuma, S.
来源:Bioorg Med Chem Lett 1999,9(3),381
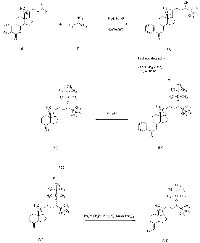
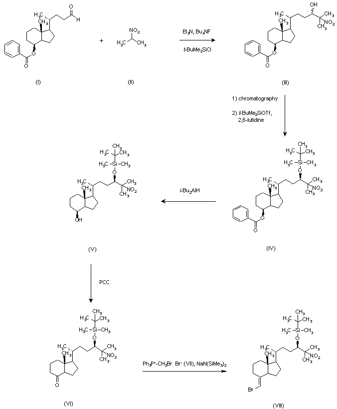
合成路线图解说明:

Condensation of aldehyde (I) with 2-nitropropane (II) using tert-butyldimethylsilyl chloride, tetrabutylammonium fluoride and triethylamine afforded a mixture of diastereomeric nitroaldol products (III). After separation by column chromatography, the desired isomer was protected as the tert-butyldimethylsilyl ether (IV). Deprotection of the benzoate ester of (IV) was carried out by reduction with diisobutylaluminum hydride to provide alcohol (V), which was then oxidized to the corresponding ketone (VI) with pyridinium chlorochromate. Wittig reaction of (VI) with phosphorane (VII) provided the bromomethylene compound (VIII).

合成路线图解说明:

Further exchange of the protecting group of (VIII) from tert-butyldimethylsilyl to trimethylsilyl ether (IX) was carried out by desilylation with LiBF4 and H2SO4, followed by treatment with (trimethylsilyl)imidazole. The resulting compound (IX) was cyclized with enyne (X) using Pd2(dba)3, Et3N and PPh3 to afford triene (XI), which was finally desilylated with pyridinium tosylate.

合成路线图解说明:

Condensation of aldehyde (I) with 2-nitropropane (II) using tert-butyldimethylsilyl chloride, tetrabutylammonium fluoride and triethylamine afforded a mixture of diastereomeric nitroaldol products (III). After separation by column chromatography, the desired isomer was protected as the tert-butyldimethylsilyl ether (IV). Deprotection of the benzoate ester of (IV) was carried out by reduction with diisobutylaluminum hydride to provide alcohol (V), which was then oxidized to the corresponding ketone (VI) with pyridinium chlorochromate. Wittig reaction of (VI) with phosphorane (VII) provided the bromomethylene compound (VIII).

合成路线图解说明:

Further exchange of the protecting group of (VIII) from tert-butyldimethylsilyl to trimethylsilyl ether (IX) was carried out by desilylation with LiBF4 and H2SO4, followed by treatment with (trimethylsilyl)imidazole. The resulting compound (IX) was cyclized with enyne (X) using Pd2(dba)3, Et3N and PPh3 to afford triene (XI), which was finally desilylated with pyridinium tosylate.

Drug Information Express,Drug R&D,Chemical Database,Patent Search.
Copyright © 2006-2026 Drug Future. All rights reserved.Contact Us