【药物名称】BSF-190555, BTS-79018
化学结构式(Chemical Structure):
参考文献No.26531
标题:Bicyclic aromatic cpds. as therapeutic agents
作者:Kerrigan, F.; Heal, D.J.; Martin, K.F. (The Boots Company plc)
来源:EP 0717739; JP 1997502431; US 5767116; WO 9507274
合成路线图解说明:

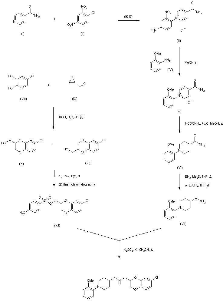
Condensation of isonicotinamide (I) with 1-chloro-2,4-dinitrobenzene (II) gave quaternary pyridinium salt (III). This was further converted into pyridinium salt (V) by treatment with 2-methoxyaniline (IV) in MeOH. Catalytic transfer hydrogenation of the pyridine ring of (V) provided piperidine (VI). The amide function of (VI) was then reduced to amine (VII) using either borane-dimethyl sulfide complex or LiAlH4. Condensation of 4-chlorocatechol (VIII) with epichlorohydrin (IX) in aqueous KOH produced a mixture of regioisomeric benzodioxans (X) and (XI), from which the major 7-chloro isomer (X) was isolated by flash chromatography after treatment with tosyl chloride and pyridine yielding tosylate (XII). This compound was finally coupled with amine (VII) in the presence of K2CO3 and KI in boiling acetonitrile.

参考文献No.547223
标题:N-substituted (2,3-dihydro-1,4-benzodioxin-2-yl)methylamine derivatives as D2 antagonists/5HT1A partial agonists with potential as atypical antipsychotic agents
作者:Birch, A.M.; Bradley, P.A.; Gill, J.C.; Kerrigan, F.; Needham, P.L.
来源:J Med Chem 1999,42(17),3342
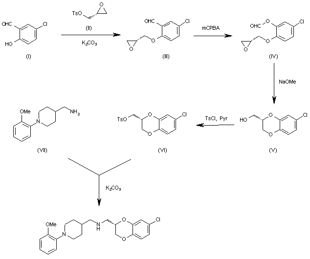
合成路线图解说明:

The reaction of 5-chloro-2-hydroxybenzaldehyde (I) with the chiral glycidyl tosylate (II) by means of K2CO3 in DMF gives the condensation product (III), which is oxidized with m-chloroperbenzoic acid to formyl ester (IV). The cyclization of (IV) with sodium methoxide in methanol affords the hydroxymethyl benzodioxane (V), which is tosylated with tosyl chloride in pyridine to the tosylate (VI). Finally, this compound is condensed with 1-(2-methoxyphenyl)piperidin-4-ylmethylamine (VII) by means of K2CO3 in refluxing acetonitrile.

Drug Information Express,Drug R&D,Chemical Database,Patent Search.
Copyright © 2006-2026 Drug Future. All rights reserved.Contact Us