【药物名称】SL-88.0338
化学结构式(Chemical Structure):
参考文献No.11866
标题:Derivs. of 2-[(4-piperidinyl)methyl]-1,2,3, 4-tetrahydroisoquinoline, their use in therapy
作者:George, P.; Sevrin, M.; Maloizel, C.; Tixidre, A.; Froissant, J. (Sanofi-Synth閘abo )
来源:AU 8929617; EP 0351255; JP 1990025481; US 4925850
合成路线图解说明:

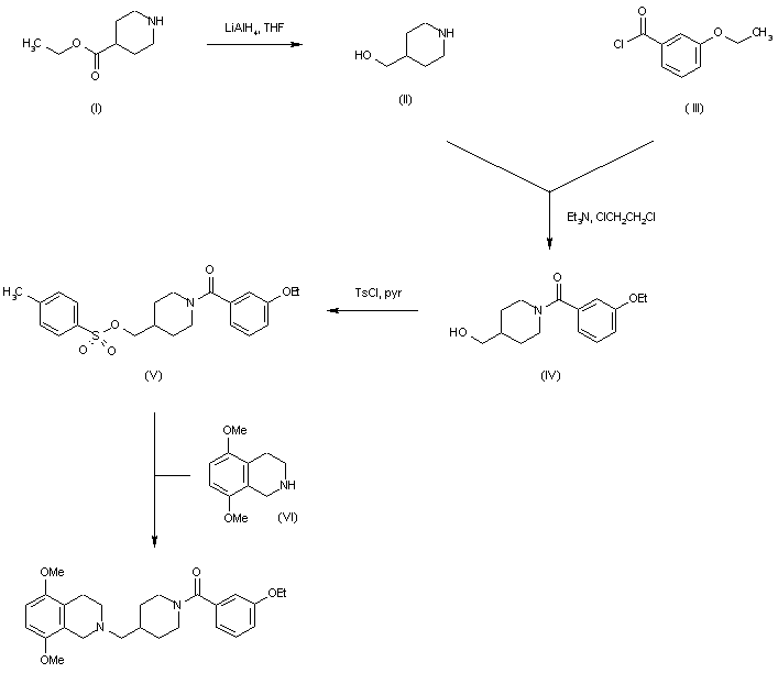
Reduction of ethyl 4-piperidinecarboxylate (I) with LiAlH4 in THF provided 4-piperidinemethanol (II), which was coupled with 3-ethoxybenzoyl chloride (III) in the presence of Et3N, yielding amide (IV). Subsequent treatment of (IV) with p-toluenesulfonyl chloride in pyridine afforded the corresponding tosylate (V. This was finally condensed with 5,8-dimethoxy-1,2,3,4-tetrahydroisoquinoline (VI) to furnish the title compound.

Drug Information Express,Drug R&D,Chemical Database,Patent Search.
Copyright © 2006-2026 Drug Future. All rights reserved.Contact Us