【药物名称】ONO-1714
化学结构式(Chemical Structure):
参考文献No.37512
标题:Condensed piperidine derivs. used as a nitrogen monoxide synthase inhibitors
作者:Kobayashi, K.; Taniguchi, N.; Naka, M. (Ono Pharmaceutical Co., Ltd.)
来源:EP 0870763; JP 1999171866; US 6110930; US 6228866
合成路线图解说明:

The reaction of tetrahydropyridinone (I) with CHCl3 and NaOH gives the 2-azabicyclo[4,1,0]heptane derivative (II), which is selectively monodechlorinated by means of triphenyltin hydride and AIBN in refluxing benzene to yield a mixture of the monochlorinated compounds (III) and (IV).Their chromatographic separation yields pure (III), which is finally treated with ammonia in ethanol to afford the target imine.

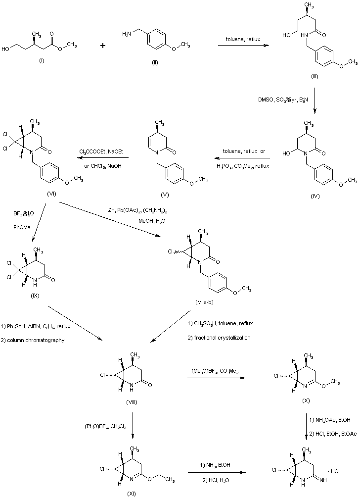
合成路线图解说明:

The condensation between methyl (R)-5-hydroxy-3-methylpentanoate (I) and 4-methoxybenzylamine (II) afforded amide (III). Swern oxidation of the alcohol function led to the corresponding aldehyde, which spontaneously evolved to the cyclic hemiaminal form (IV). Dehydration of (IV) to the tetrahydropyridinone (V) was accomplished by either heating in toluene, or by treatment with phosphoric acid in refluxing dimethyl carbonate. The bicyclic derivative (VI) was then obtained by addition of dichlorocarbene, generated from either ethyl trichloroacetate or chloroform and a base, to tetrahydropyridinone (V). Mono-dehalogenation of dichloro compound (VI) employing zinc dust and ethylenediamine provided a mixture of diastereomeric mono-chloro derivatives (VIIa-b) . After acid-promoted cleavage of the p-methoxybenzyl group, the major isomer (VIII) was isolated by selective crystallization from the reaction mixture. Alternatively, dichloro compound (VI) was first subjected to acidic p-methoxybenzyl group cleavage yielding (IX). Then, radical dehalogenation with triphenyltin hydride and AIBN produced a mixture of mono-chloro compounds, which were separated by column chromatography. Lactam (VIII) was converted to imidate (X) upon treatment with trimethyloxonium tetrafluoroborate. Optionally, the analogous ethyl imidate (XI) was prepared by a similar procedure. Treatment of imidates (X) or (XI) with either ammonia or ammonium acetate furnished the target amidine, which was finally isolated as the corresponding hydrochloride salt.

参考文献No.49334
标题:Process for the preparation of intermediate cpds. of drugs
作者:Hashimoto, S.; Kusuda, S.; Kuwabe, S. (Ono Pharmaceutical Co., Ltd.)
来源:EP 1188749; WO 0078722
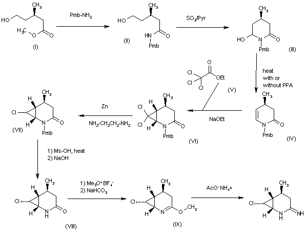
合成路线图解说明:

The reaction of methyl 5-hydroxy-3(R)-methylpentanoate (I) with 4-methoxybenzyalmine in refluxing toluene gives the corresponding amide (II), which is cyclized by means of SO3/pyridine in DMSO/TEA to yield the 6-hydroxypiperidinone (III). The dehydration of (III) in refluxing toluene, or by means of PPA in refluxing dimethyl carbonate affords the tetrahydropyridinone (IV). The reaction of (IV) with ethyl trichloroacetate (V) by means of Na-OEt in dimethyl carbonate gives the 2-azabicyclo[4,1,0]heptane derivative (VI), which is monodechlorinated by means of Zn and ethylenediamine in refluxing methanol/water to yield a diastereomeric mixture of monochloro compounds (VII). The treatment of (VII) with Ms-OH in refluxing toluene, followed by treatment with aq. NaOH affords the desired deprotected monochloro isomer (VIII). The reaction of the ketone group of (VIII) with trimethyloxonium tetrafluoroborate in dimethyl carbonate provides the enol ether (IX), which is finally treated with ammonium acetate in refluxing ethanol to give the target imine.

合成路线图解说明:

The condensation between methyl (R)-5-hydroxy-3-methylpentanoate (I) and 4-methoxybenzylamine (II) afforded amide (III). Swern oxidation of the alcohol function led to the corresponding aldehyde, which spontaneously evolved to the cyclic hemiaminal form (IV). Dehydration of (IV) to the tetrahydropyridinone (V) was accomplished by either heating in toluene, or by treatment with phosphoric acid in refluxing dimethyl carbonate. The bicyclic derivative (VI) was then obtained by addition of dichlorocarbene, generated from either ethyl trichloroacetate or chloroform and a base, to tetrahydropyridinone (V). Mono-dehalogenation of dichloro compound (VI) employing zinc dust and ethylenediamine provided a mixture of diastereomeric mono-chloro derivatives (VIIa-b) . After acid-promoted cleavage of the p-methoxybenzyl group, the major isomer (VIII) was isolated by selective crystallization from the reaction mixture. Alternatively, dichloro compound (VI) was first subjected to acidic p-methoxybenzyl group cleavage yielding (IX). Then, radical dehalogenation with triphenyltin hydride and AIBN produced a mixture of mono-chloro compounds, which were separated by column chromatography. Lactam (VIII) was converted to imidate (X) upon treatment with trimethyloxonium tetrafluoroborate. Optionally, the analogous ethyl imidate (XI) was prepared by a similar procedure. Treatment of imidates (X) or (XI) with either ammonia or ammonium acetate furnished the target amidine, which was finally isolated as the corresponding hydrochloride salt.

Drug Information Express,Drug R&D,Chemical Database,Patent Search.
Copyright © 2006-2026 Drug Future. All rights reserved.Contact Us