【药物名称】Cymserine
化学结构式(Chemical Structure):
参考文献No.19701
标题:Substd. phenserines as specific inhibitors of acetylcholinesterase
作者:Brossi, A.; Brzostowska, M.; Rapoport, S.I.; Greig, N.; He, X.-S. (US Department of Health & Human Services)
来源:EP 0606366; JP 1995503703; US 5171750; WO 9306105
合成路线图解说明:

Hydrolysis of physostigmine (I) with either NaOMe in ethanol or NaOBu in refluxing butanol (better yield) gives eseroline (II), which is condensed with phenyl isocyanate (III) by means of NaOMe in benzene, Na in benzene or Na in ether/benzene.

合成路线图解说明:

The title carbamate was prepared by condensation of (-)-eseroline (I) with 4-isopropylphenyl isocyanate in Et2O in the presence of a catalytic amount of Na.

参考文献No.405572
标题:Phenylcarbamates of (-)-eseroline, (-)-N1-noreseroline and (-)-physovenol: Selective inhibitors of acetyl and,or butyrylcholinesterase
作者:Brzostowska, M.; et al.
来源:Med Chem Res 1992,2(4),238
合成路线图解说明:

Hydrolysis of physostigmine (I) with either NaOMe in ethanol or NaOBu in refluxing butanol (better yield) gives eseroline (II), which is condensed with phenyl isocyanate (III) by means of NaOMe in benzene, Na in benzene or Na in ether/benzene.

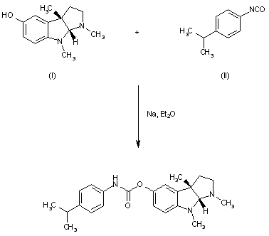
合成路线图解说明:

The title carbamate was prepared by condensation of (-)-eseroline (I) with 4-isopropylphenyl isocyanate in Et2O in the presence of a catalytic amount of Na.

Drug Information Express,Drug R&D,Chemical Database,Patent Search.
Copyright © 2006-2026 Drug Future. All rights reserved.Contact Us