【药物名称】CGP-68730A
化学结构式(Chemical Structure):
参考文献No.29552
标题:Quinoxaline-2,3-diones with an oxa or thiaheterocyclic fused ring
作者:Moretti, R.; Zimmermann, K. (Novartis AG)
来源:CA 2157231; EP 0705835; JP 1996109185
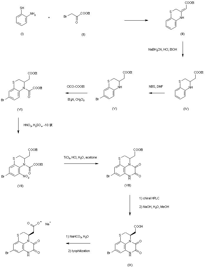
合成路线图解说明:

Benzothiazin (III) was prepared by condensation of 2-aminothiophenol (I) with ethyl 4-bromoacetoacetate (II). Subsequent reduction of (III) with NaBH3CN provided (IV), which was brominated using N-bromosuccinimide to afford (V). This was coupled with ethyl oxalyl chloride to give amide (VI). Nitration of (VI) was then performed with HNO3 in H2SO4 at -10 C. Further reduction of the nitro group of (VII) with concomitant cyclization produced the tricyclic compound (VIII). After resolution by chiral preparative HPLC, the required (R)-enantiomer was hydrolyzed with NaOH to afford carboxylic acid (IX). This compound was finally isolated as the sodium salt upon treatment with aqueous NaHCO3, followed by lyophilization.

Drug Information Express,Drug R&D,Chemical Database,Patent Search.
Copyright © 2006-2026 Drug Future. All rights reserved.Contact Us