【药物名称】NAS-181
化学结构式(Chemical Structure):
参考文献No.479162
标题:(R)-(+)-2[[[3-(Morpholinomethyl)-2H-chromen-8-yl]oxy]methyl]morpholine methanesulfonate: A new selective rat 5-hydroxytryptamine1B receptor antagonist
作者:Berg, S.; Larsson, L.G.; Renyi, L.; Ross, S.B.; Thorberg, S.O.; Thorell-Svantesson, G.
来源:J Med Chem 1998,41(11),1934
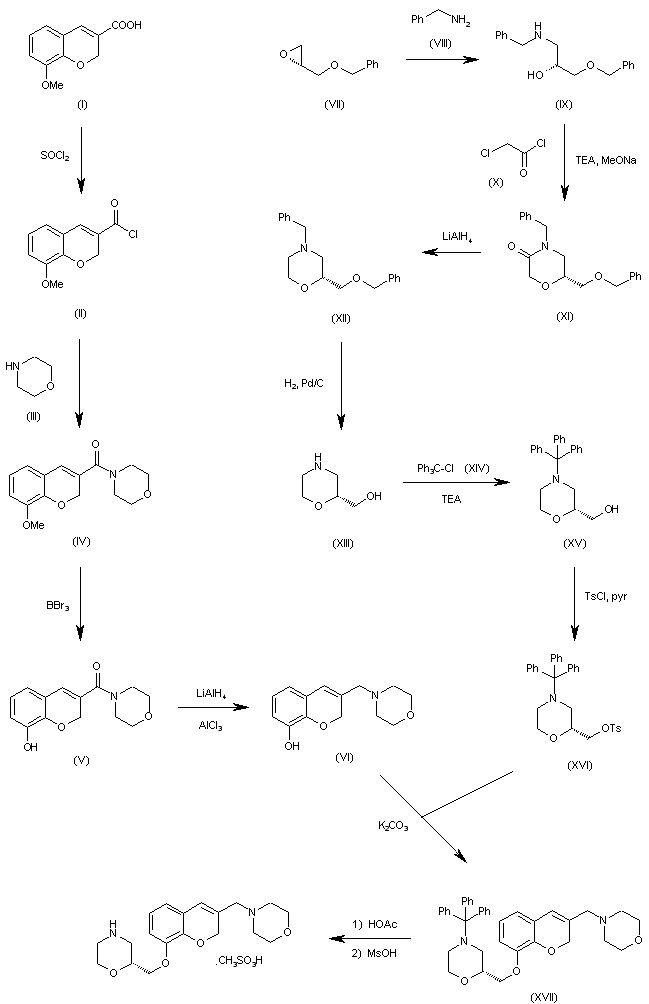
合成路线图解说明:

The condensation of 3-(4-morpholinylmethyl)-2H-1-benzopyran-8-ol (VI) with 2(R)-(p-toluenesulfonyloxymethyl)-4-(triphenylmethyl)morpholine (XVI) by means of K2CO3 in DMF gives the protected target compound (XVII), which is finally deprotected with acetic acid and salified with methanesulfonic acid. The intermediates benzopyran (VI) and morpholine (XVI) have been obtained as follows: Benzopyran (VI): The reaction of 8-methoxy-4H-1-benzopyran-3-carboxylic acid (I) with SOCl2 in refluxing toluene gives the acyl chloride (II), which is condensed with morpholine (III) in dioxane yielding the methanone (IV). The reaction of (IV) with BBr3 in dichloromethane affords the 1-(8-hydroxy-2H-1-benzopyran-3-yl)-1-(4-morpholinyl)methanone (V), which is reduced with LiAlH4 in THF giving the desired intermediate benzopyran (VI). Morpholine (XVI): The reaction of benzyl (S)-glycicyl ether (VII) with benzylamine (VIII) gives 1-(benzylamino)-3-(benzyloxy)-2(R)-propanol (IX), which is cyclized with chloroacetyl chloride (X) and triethylamine in dichloromethane yielding the morpholinone (XI). The reduction of (XI) with LiAlH4 in ethyl ether affords the fully protected morpholine (XII), which is debenzylated with H2 over Pd/C in ethanol giving 2(R)-(hydroxyethyl)morpholine (XIII). The reaction of (XIII) with trityl chloride (XIV) and TEA in dichloromethane yields the N-tritylmorpholine (XV), which is finally tosylated with tosyl chloridde and pyridine affording the desired intermediate morpholine (XVI).

Drug Information Express,Drug R&D,Chemical Database,Patent Search.
Copyright © 2006-2026 Drug Future. All rights reserved.Contact Us