【药物名称】SCH-57790
化学结构式(Chemical Structure):
参考文献No.30818
标题:Benzylpiperidines and piperazines as muscarinic an
作者:Lowe, D.; Chang, W.; Kozlowski, J.; Berger, J.G.; McQuade, R.; Barnett, A.; Scherlock, M.; Tom, W.; Dugar, S.; Chen, L.-Y.; Clader, J.W.; Chackalamannil, S. (Schering Corp.)
来源:EP 0811002; JP 1999501014; US 5883096; WO 9626196
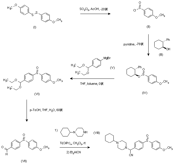
合成路线图解说明:

Oxidation of disulfide (I) with sulfuryl chloride in AcOH at -20 C afforded (4-methoxyphenyl)sulfinyl chloride (II), which was condensed with (1R,2S)-2-phenylcyclohexanol to provide sulfinate (IV) as a single diastereomer. Subsequent condensation with the Grignard reagent (V) produced the chiral sulfoxide (VI). The diethyl acetal of (VI) was then hydrolyzed to the corresponding benzaldehyde (VII) using p-TsOH in THF-H2O. Finally, condensation of (VII) with N-cyclohexylpiperazine (VIII) using titanium tetraisopropoxide, followed by addition of diethylaluminum cyanide, furnished the target piperazinylacetonitrile.

参考文献No.596223
标题:Diphenyl sulfoxides as selective antagonists of the muscarinic M2 receptor
作者:Kozlowski, J.A.; Lowe, D.B.; Guzik, H.S.; Zhou, G.; Ruperto, V.B.; Duffy, R.A.; McQuade, R.; Crosby, G.; Taylor, L.A.; Billard, W.; Binch, H. III.; Lachowicz, J.E.
来源:Bioorg Med Chem Lett 2000,10(20),2255
合成路线图解说明:

Oxidation of disulfide (I) with sulfuryl chloride in AcOH at -20 C afforded (4-methoxyphenyl)sulfinyl chloride (II), which was condensed with (1R,2S)-2-phenylcyclohexanol to provide sulfinate (IV) as a single diastereomer. Subsequent condensation with the Grignard reagent (V) produced the chiral sulfoxide (VI). The diethyl acetal of (VI) was then hydrolyzed to the corresponding benzaldehyde (VII) using p-TsOH in THF-H2O. Finally, condensation of (VII) with N-cyclohexylpiperazine (VIII) using titanium tetraisopropoxide, followed by addition of diethylaluminum cyanide, furnished the target piperazinylacetonitrile.

Drug Information Express,Drug R&D,Chemical Database,Patent Search.
Copyright © 2006-2026 Drug Future. All rights reserved.Contact Us