【药物名称】
化学结构式(Chemical Structure):
参考文献No.476324
标题:N-(Iodopropenyl)-octahydrobenzo[f]- and -[g]quinolines: Synthesis and adrenergic and dopaminergic activity studies
作者:Tagmatarchis, N.; Thermos, K.; Katerinopoulos, H.E.
来源:J Med Chem 1998,41(21),4165
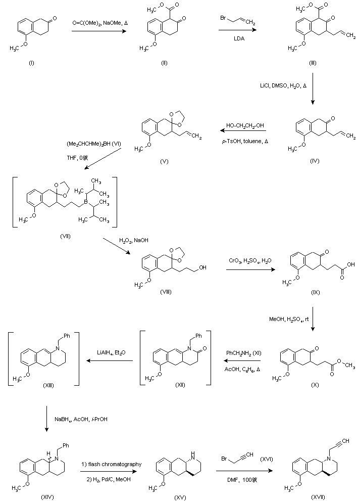
合成路线图解说明:

Ketoester (II) was prepared by condensation of dimethyl carbonate with 5-methoxy-2-tetralone (I) in the presence of NaOMe. The alkylation of (II) with allyl bromide using two equivalents of LDA at -78 C proceeded selectively on the C-3 position to give (III). Further decarbomethoxylation of (III) was carried out with LiCl in moist DMSO at high temperature, and the resulting ketone (IV) was converted to ethylene ketal (V) with ethylene glycol and p-TsOH. Then, hydroboration of (V) with disiamyl borane (VI) in cold THF, followed by oxidation of borane (VII) with H2O2-NaOH furnished the primary alcohol (VIII). After Jones oxidation of alcohol (VIII), the resulting acid (IX) was esterified with MeOH and H2SO4 to give ketoester (X). Subsequent cyclization of (X) with benzylamine (XI) and AcOH in refluxing benzene afforded the intermediate tricyclic enamide (XII), which was sequentially reduced with LiAlH4 to enamine (XIII), and then with NaBH4 in the presence of AcOH to furnish a mixture of cis and trans octahydrobenzo[g]quinolines (XIV). Separation of the major trans isomer by flash chromatography was followed by hydrogenolysis of the benzyl group over Pd/C, yielding the secondary amine (XV), whitch was N-alkylated with propargyl bromide (XVI) in hot DMF to give (XVII).

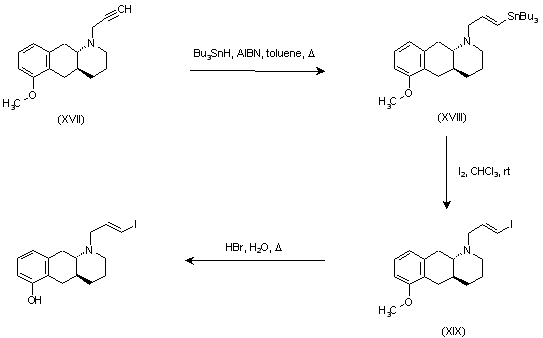
合成路线图解说明:

Free-radical syn addition of tributyltin hydride to the triple bond of (XVII) using azobis(isobutyronitrile) as the catalyst produced the tributylstannyl compound (XVIII), which upon treatment with iodine in CHCl3 provided the trans iodopropenyl derivative (XIX). Finally, dealkylation of the methyl ether of (XIX) in boiling 48% HBr yielded the target phenol.

Drug Information Express,Drug R&D,Chemical Database,Patent Search.
Copyright © 2006-2026 Drug Future. All rights reserved.Contact Us