【药物名称】QM-96539
化学结构式(Chemical Structure):
参考文献No.476318
标题:Novel 1,1,3-trioxo-2H,4H-thieno[3,4-e][1,2,4]thiadiazine derivatives as non-nucleoside reverse transcriptase inhibitors that inhibit human immunodeficiency virus type 1 replication
作者:Arranz, E.; D韆z, J.A.; Ingate, S.T.; Witvrouw, M.; Pannecouque, C.; Balzarini, J.; De Clercq, E.; Vega, S.
来源:J Med Chem 1998,41(21),4109
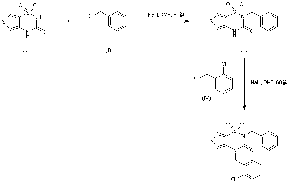
合成路线图解说明:

Alkylation of 1,1,3-trioxo-2H,4H-thieno[3,4-e][1,2,4]thiadiazine (I) at the N-2 with benzyl chloride (II) in the presence of NaH in DMF yielded the 2-benzyl derivative (III), which was further alkylated with 2-chlorobenzyl chloride (IV) at the N-4 to provide the title compound.

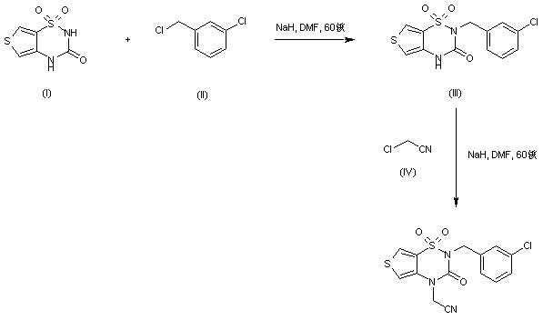
合成路线图解说明:

Alkylation of 1,1,3-trioxo-2H,4H-thieno[3,4-e][1,2,4]thiadiazine (I) at the N-2 with 3-chlorobenzyl chloride (II) in the presence of NaH in DMF yielded the 2-benzyl derivative (III), which was further alkylated with chloroacetonitrile (IV) at the N-4 to provide the title compound.

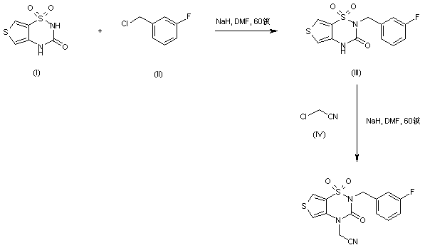
合成路线图解说明:

Alkylation of 1,1,3-trioxo-2H,4H-thieno[3,4-e][1,2,4]thiadiazine (I) at the N-2 with 3-fluorobenzyl chloride (II) in the presence of NaH in DMF yielded the 2-benzyl derivative (III), which was further alkylated with chloroacetonitrile (IV) at the N-4 to provide the title compound.

Drug Information Express,Drug R&D,Chemical Database,Patent Search.
Copyright © 2006-2026 Drug Future. All rights reserved.Contact Us