【药物名称】
化学结构式(Chemical Structure):
参考文献No.476313
标题:Design, synthesis, and biological activities of new thieno[3,2-d]pyrimidines as selective type 4 phosphodiesterase inhibitors
作者:Crespo, M. I.; Pages, L.; Vega, A.; Segarra, V.; Lopez, M.; Domenech, T.; Miralpeix, M.; Beleta, J.; Ryder, H.; Palacios, J.M.
来源:J Med Chem 1998,41(21),4021
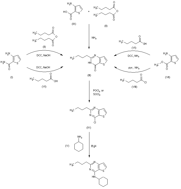
合成路线图解说明:

This compound can be obtained by several related ways: 1.- The cyclization of 3-aminothiophene-2-carboxamide (I) with pentanoyl anhydride (II) by means of DCC, DMAP and pyridine in DMF and NaOH gives 2-butylthieno[3,2-d]pyrimidin-4(3H)-one (III), which by reaction with POCl3 or SOCl2 affords 2-butyl-4-chlorothieno[3,2-d]pyrimidine (IV). Finally, this compound is condensed with cyclohexylamine (V) by means of triethylamine in in THF. 2.- The intermediate 2-butylthieno[3,2-d]pyrimidin-4-(3H)-one (III) can be obtained by other ways: a.- By cyclization of amide (I) with pentanoic acid (VI) by means of DCC, DMAP and pyridine in DMF and NaOH. b.- By cyclization of 3-aminothiophene-2-carboxylic acid methyl ester (VII) with pentanoic acid (VI) by means of DCC, DMAP and ammonia in dichloromethane. c.- By cyclization of 3-aminothiophene-2-carboxylic acid methyl ester (VII) with pentanoyl chloride (VIII) by means of pyridine and ammonia. d.- By cyclization of 3-aminothiophene-2-carboxylic acid (IX) with pentanoic anhydride (II) and ammonia.

Drug Information Express,Drug R&D,Chemical Database,Patent Search.
Copyright © 2006-2026 Drug Future. All rights reserved.Contact Us