【药物名称】U-99194A, PNU-99194A
化学结构式(Chemical Structure):
参考文献No.524671
标题:Conformationally restricted congeners of dopamine derived from 2-aminoindan
作者:Cannon, J.G.; Perez, J.A.; Bhatnagar, R.K.; Long, J.P.; Sharabi, F.M.
来源:J Med Chem 1982,25(12),1442
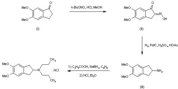
合成路线图解说明:

Nitrosation of 5,6-dimethoxy-1-indanone (I) with n-butyl nitrite and HCl in MeOH at 40 C provided oxime (II). Subsequent catalytic hydrogenation of ketone and oxime groups of (II) afforded the 2-aminoindan (III). Reductive alkylation of (III) using propionic acid and NaBH4 then gave the target dipropylamino compound, which was isolated as the hydrochloride salt after separation of some unreacted material by treatment with phenyl isocyanate.

参考文献No.645582
标题:Dopamine D3 receptor antagonists. 1. Synthesis and structure-activity relationships of 5,6-dimethoxy-N-alkyl- and N-alkylaryl-substituted 2-aminoindans
作者:Haadsma-Svensson, S.R.; Cleek, K.A.; Dinh, D.M.; Duncan, J.N.; Haber, C.L.; Huff, R.M.; Lajiness, M.E.; Nichols, N.F.; Smith, M.W.; Svensson, K.A.; Zaya, M.J.; Carlsson, A.; Lin, C.H.
来源:J Med Chem 2001,44(26),4716
合成路线图解说明:

Knoevenagel condensation of 3,4-dimethoxybenzaldehyde (I) with malonic acid produced the cinnamic acid (II), which was further reduced to (III) by catalytic hydrogenation using Pd/C. Conversion of (III) to the corresponding acid chloride (IV), followed by Friedel-Crafts intramolecular cyclization gave the indanone (V). Nitrosation of (V) yielded the oximino derivative (VI), which was subsequently silylated with t-butyldimethylsilyl chloride and imidazole to afford the O-silyl oxime (VII). Reduction of (VII) with borane-dimethyl sulfide complex produced the amino alcohol (VIII). Without isolation, (VIII) was converted to the dipropylamino compound (IX) by reductive alkylation with propionaldehyde and NaBH(OAc)3. Amino alcohol (IX) was finally deoxygenated by means of triethylsilane in the presence of boron trifluoride etherate.

Drug Information Express,Drug R&D,Chemical Database,Patent Search.
Copyright © 2006-2026 Drug Future. All rights reserved.Contact Us