【药物名称】PD-166866
化学结构式(Chemical Structure):
参考文献No.424858
标题:Structure-activity relationships for a novel series of pyrido[2,3-d]pyrimidine tyrosine kinase inhibitors
作者:Hamby, J.M.; Connolly, C.J.C.; Schroeder, M.C.; Winters, R.T.; Showalter, H.D.; Panek, R.L.; Major, T.C.; Olsewski, B.; Ryan, M.J.; Dahring, T.K.; Lu, G.H.; Keiser, J.A.; Amar, A.M.; Shen, C.; Kraker, A.J.; Slintak, V.; Nelson, J.M.; Fry, D.W.; et al.
来源:J Med Chem 1997,40(15),2296
合成路线图解说明:

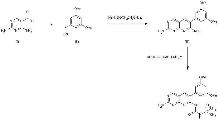
Condensation of pyrimidine carboxaldehyde (I) with 3,5-dimethoxy-phenylacetonitrile (II) using NaH in 2-ethoxyethanol provided the pyridopyrimidine (III). Then, regioselective condensation of (III) with tert-butyl isocyanate at the 7-amino group in the presence of NaH in DMF furnished the corresponding urea.

参考文献No.485926
标题:Discovery and structure-activity studies of a novel series of pyrido[2,3-d]pyrimidine tyrosine kinase inhibitors
作者:Hamby, J.M.; Connolly, C.J.C.; Schroeder, M.C.; et al.
来源:Bioorg Med Chem Lett 1997,7(18),2415
合成路线图解说明:

Condensation of pyrimidine carboxaldehyde (I) with 3,5-dimethoxy-phenylacetonitrile (II) using NaH in 2-ethoxyethanol provided the pyridopyrimidine (III). Then, regioselective condensation of (III) with tert-butyl isocyanate at the 7-amino group in the presence of NaH in DMF furnished the corresponding urea.

Drug Information Express,Drug R&D,Chemical Database,Patent Search.
Copyright © 2006-2026 Drug Future. All rights reserved.Contact Us