【药物名称】Trybizine hydrochloride, SIPI-1029, T-46
化学结构式(Chemical Structure):
参考文献No.526119
标题:Synthesis and antiprotozoal activities of some new triazine derivatives including a new antitrypanosomal agent: SIPI-1029
作者:Zhang, X.P.; Shen, J.; Xin, Z.M.; Qiu, Q.P.; Zhou, W.C.
来源:Acta Pharm Sin 1996,31(11),823
合成路线图解说明:

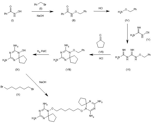
The reaction of benzohydroxamic acid (I) with benzyl bromide (II) by means of NaOH on ethanol gives the corresponding benzyl ester (III), which is treated with HCl yielding O-benzylhydroxylamine (IV). The reaction of (IV) with dicyaniamide (V) in ethanol affords the biguanide (VI), which is cyclized with cyclopentanone (VII) and HCl giving 1-benzyloxy-2,2-dimethyl-1,2-dihydro-1,3,5-triazine-4,6-diamine (VIII). The debenzylation of (VIII) with H2 over PtO2 in ethanol yields 1-hydroxy-2,2-dimethyl-1,2-dihydro-1,3,5-triazine-4,6-diamine (IX), which is finally condensed with 1,6-dibromohexane (X) by means of NaOH in methanol.

合成路线图解说明:

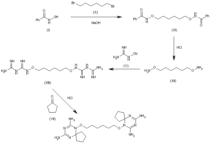
The reaction of benzohydroxamic acid (I) with 1,6-dibromohexane (X) by means of NaOH in methanol gives the bis benzohydroxamic ester (XI), which is treated with HCl to afford the subituted bis hydroxylamine (XII). The reaction of (XII) with dicyandiamide (V) in ethanol yields the bis biguanide (XIII), which is finally cyclized with cyclopentanone (VII) and HCl as before.

参考文献No.553422
标题:Trybizine Hydrochloride
作者:Zhou, W.; Zhang, X.
来源:Drugs Fut 1999,24(10),1084
合成路线图解说明:

The reaction of benzohydroxamic acid (I) with benzyl bromide (II) by means of NaOH on ethanol gives the corresponding benzyl ester (III), which is treated with HCl yielding O-benzylhydroxylamine (IV). The reaction of (IV) with dicyaniamide (V) in ethanol affords the biguanide (VI), which is cyclized with cyclopentanone (VII) and HCl giving 1-benzyloxy-2,2-dimethyl-1,2-dihydro-1,3,5-triazine-4,6-diamine (VIII). The debenzylation of (VIII) with H2 over PtO2 in ethanol yields 1-hydroxy-2,2-dimethyl-1,2-dihydro-1,3,5-triazine-4,6-diamine (IX), which is finally condensed with 1,6-dibromohexane (X) by means of NaOH in methanol.

合成路线图解说明:

The reaction of benzohydroxamic acid (I) with 1,6-dibromohexane (X) by means of NaOH in methanol gives the bis benzohydroxamic ester (XI), which is treated with HCl to afford the subituted bis hydroxylamine (XII). The reaction of (XII) with dicyandiamide (V) in ethanol yields the bis biguanide (XIII), which is finally cyclized with cyclopentanone (VII) and HCl as before.

Drug Information Express,Drug R&D,Chemical Database,Patent Search.
Copyright © 2006-2026 Drug Future. All rights reserved.Contact Us