【药物名称】2MD
化学结构式(Chemical Structure):
参考文献No.37363
标题:2-Alkylidene-19-nor-vitamin D cpds.
作者:DeLuca, H.F.; Sicinski, R.R. (Wisconsin Alumni Research Foundation)
来源:EP 0970047; JP 2001504135; US 5843928; WO 9841501
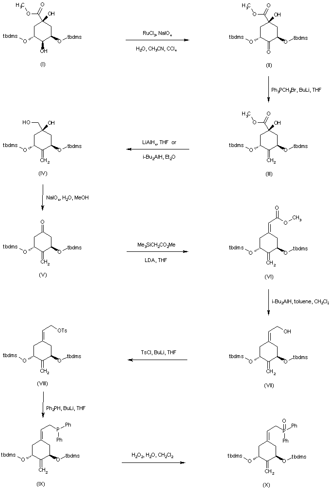
合成路线图解说明:

The disilylated methyl quinicate (I) is oxidized to ketone (II) employing RuCl3 and NaIO4. Subsequent Wittig reaction of ketone (II) with methylenetriphenylphosphorane leads to olefin (III). Reduction of the ester function of (III) is performed by either treatment with DIBAL or, in an improved process, with LiAlH4. The resultant vicinal diol (IV) is then subjected to oxidative cleavage with NaIO4, producing ketone (V). Petrson olefination of (V) with methyl (trimethylsilyl)acetate affords the unsaturated ester (VI), which is further reduced with DIBAL to the allylic alcohol (VII). Tosylation of alcohol (VII), followed by displacement of tosylate (VIII) with the lithium salt of diphenylphosphine generates the allylic phosphine (IX). This is then oxidized by H2O2 to the phosphine oxide (X).

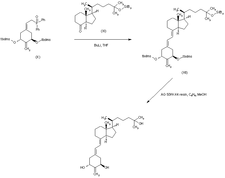
合成路线图解说明:

Wittig-Horner coupling of phosphine oxide (X) with the protected 25-hydroxy Grudmann's ketone (XI) produces the target 19-norvitamin D derivative (XII). Finally, complete desilylation of (XII) with a cation-exchange resin in MeOH/benzene leads to the title compound.

参考文献No.693494
标题:New 1alpha,25-dihydroxy-19-norvitamin D3 compounds of high biological activity: synthesis and biological evaluation of 2-hydroxymethyl, 2-methyl, and 2-methylene analogues
作者:Sicinski, R.R.; Prahl, J.M.; Smith, C.M.; DeLuca, H.F.
来源:J Med Chem 1998,41(23),4662
合成路线图解说明:

The disilylated methyl quinicate (I) is oxidized to ketone (II) employing RuCl3 and NaIO4. Subsequent Wittig reaction of ketone (II) with methylenetriphenylphosphorane leads to olefin (III). Reduction of the ester function of (III) is performed by either treatment with DIBAL or, in an improved process, with LiAlH4. The resultant vicinal diol (IV) is then subjected to oxidative cleavage with NaIO4, producing ketone (V). Petrson olefination of (V) with methyl (trimethylsilyl)acetate affords the unsaturated ester (VI), which is further reduced with DIBAL to the allylic alcohol (VII). Tosylation of alcohol (VII), followed by displacement of tosylate (VIII) with the lithium salt of diphenylphosphine generates the allylic phosphine (IX). This is then oxidized by H2O2 to the phosphine oxide (X).

合成路线图解说明:

Wittig-Horner coupling of phosphine oxide (X) with the protected 25-hydroxy Grudmann's ketone (XI) produces the target 19-norvitamin D derivative (XII). Finally, complete desilylation of (XII) with a cation-exchange resin in MeOH/benzene leads to the title compound.

Drug Information Express,Drug R&D,Chemical Database,Patent Search.
Copyright © 2006-2026 Drug Future. All rights reserved.Contact Us