【药物名称】PD-164800
化学结构式(Chemical Structure):
参考文献No.473728
标题:Endothelin receptor antagonists: Synthesis and structure-activity relationships of substituted benzothiazine-1,1-dioxides
作者:Berryman, K.A.; Edmunds, J.J.; Bunker, A.M.; Haleen, S.; Bryant, J.; Welch, K.M.; Doherty, A.M.
来源:Bioorg Med Chem 1998,6(9),1447
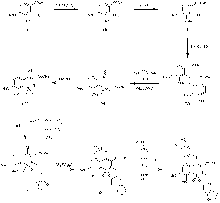
合成路线图解说明:

The esterification of 3,4-dimethoxy-2-nitrobenzoic acid (I) with methyl iodide and cesium carbonate gives the corresponding methyl ester (II), which is reduced with H2 over Pd/C yielding the expected 2-amino compound (III). The reaction of (III) with NaNO2 and SO2 affords the disulfide (IV), which is cyclized with methyl glycinate (V) by means of KNO3 and SO2Cl2 giving the benzoisothiazolone derivative (VI). The rearrangement of (VI) by means of sodium methoxide yields the 1,2-benzothiazine derivative (VII), which is condensed with 3,4-methylenedioxybenzyl chloride (VIII) by means of NaH in DMF affording the N-substituted benzothiazine (IX). The reaction of (IX) with triflic anhydride gives the triflate ester (X), which is condensed with 3,4-methylenedioxythiophenol (XI) by means of NaH in DMF and hydrolyzed with LiOH in THF to provide the target compound.

Drug Information Express,Drug R&D,Chemical Database,Patent Search.
Copyright © 2006-2026 Drug Future. All rights reserved.Contact Us