【药物名称】D-threo-PDPP
化学结构式(Chemical Structure):
参考文献No.37756
标题:Amino alcohol deriv. and method for preparing the
作者:Oyamada, H.; Inokuchi, J.; Jinbo, M. (Seikagaku Corp.)
来源:EP 0782992
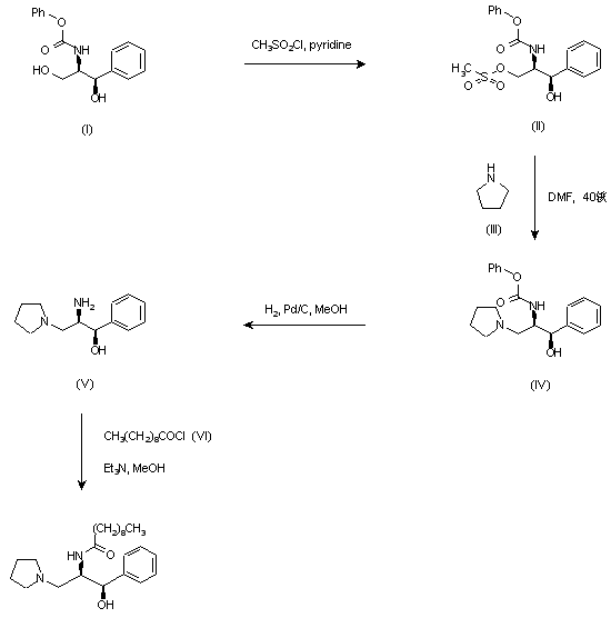
合成路线图解说明:

(1R,2R)-2-Benzyloxycarbonylamino-1-phenyl-1,3-propanediol (I) was converted to mesylate (II) upon treatment with methanesulfonyl chloride in pyridine. Reaction of this mesylate with pyrrolidine (III) provided pyrrolidino compound (IV). The N-benzyloxycarbonyl group of (IV) was then eliminated by hydrogenolysis over Pd/C to yield the vicinal hydroxyamine (V), which was finally condensed with decanoyl chloride (VI) to furnish the target decanoyl amide.

Drug Information Express,Drug R&D,Chemical Database,Patent Search.
Copyright © 2006-2026 Drug Future. All rights reserved.Contact Us