【药物名称】Ladostigil tartrate, TV-3219(racemic, HCl), TV-3326
化学结构式(Chemical Structure):
参考文献No.36976
标题:Aminoindan derivs.
作者:Youdim, M.B.H.; Herzig, Y.; Sterling, J.; Goren, T.; Chorev, M. (Technion - Israel Institute of Technology; Teva Pharmaceutical Industries Ltd.; Yissum Research Development Co.)
来源:EP 0966435; JP 2001506269; WO 9827055
合成路线图解说明:

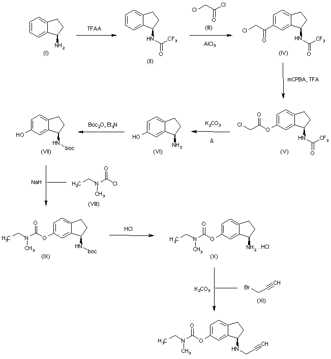
Treatment of (R)-1-aminoindan (I) with trifluoroacetic anhydride in toluene affords trifluoroacetyl derivative (II), which is condensed with chloroacetyl chloride (III) by means of AlCl3 in 1,2-dichloroethane to provide compound (IV). Oxidation of chloroacetyl derivative (IV) with 3-chloroperoxybenzoic acid (mCPBA) and TFA in CH2Cl2 allows formation of chloroacetoxy (V), which is converted into the hydroxy form (VI) by heating in hot methanol/H2O in the presence of K2CO3. N-Protection of (VI) is then performed by treatment with di-t-butyl dicarbonate and Et3N in THF to furnish Boc derivative (VII), which is then converted into derivative (IX) by O-acylation with N-Me, N-Et carbamoyl chloride (VIII) by means of NaH in acetonitrile. Removal of the Boc group of (IX) by treatment with HCl (gas) in dioxane gives hydrochloride (X), which is finally N-alkylated with propargyl bromide (XI) by means of K2CO3 in acetonitrile to yield the desired product.

Drug Information Express,Drug R&D,Chemical Database,Patent Search.
Copyright © 2006-2026 Drug Future. All rights reserved.Contact Us