【药物名称】
化学结构式(Chemical Structure):
参考文献No.480183
标题:Aryl ketones as novel replacements for the C-terminal amide bond of succinyl hydroxamate MMP inhibitors
作者:Sheppard, G.S.; Florjancic, A.S.; Giesler, J.R.; Xu, L.; Guo, Y.; Davidsen, S.K.; Marcotte, P.A.; Elmore, I.; Albert, D.H.; Terrance, J.M.; Bouska, J.J.; Goodfellow, C.L.; Morgan, D.W.; Summers, J.B.
来源:Bioorg Med Chem Lett 1998,8(22),3251
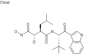
合成路线图解说明:

Friedel Crafts acylation of indole (II) with tert-leucine N-carboxyanhydride (I) in the presence of AlCl3 gave aminoketone (III). Subsequent condensation of (III) with the succinate building block (IV) in DMF afforded succinamide (V). Further deprotection of the tert-butyl ester of (V) by treatment with trifluoroacetic acid provided carboxylic acid (VI), which was coupled with O-tert-butyldimethylsilyl hydroxylamine (VII) in the presence of EDC and HOBt to yield, after desilylation, the target hydroxamic acid.

合成路线图解说明:

Friedel Crafts acylation of indole (II) with phenylalanine N-carboxyanhydride (I) in the presence of AlCl3 gave aminoketone (III). Subsequent condensation of (III) with the succinate building block (IV) in DMF afforded succinamide (V). Further deprotection of the tert-butyl ester of (V) by treatment with trifluoroacetic acid provided carboxylic acid (VI), which was coupled with O-tert-butyldimethylsilyl hydroxylamine (VII) in the presence of EDC and HOBt to yield, after desilylation, the target hydroxamic acid.

合成路线图解说明:

Friedel Crafts acylation of indole (II) with phenylalanine N-carboxyanhydride (I) in the presence of AlCl3 gave aminoketone (III). Subsequent condensation of (III) with the succinate building block (IV) in DMF afforded succinamide (V). Further deprotection of the tert-butyl ester of (V) by treatment with trifluoroacetic acid provided carboxylic acid (VI), which was coupled with O-tert-butyldimethylsilyl hydroxylamine (VII) in the presence of EDC and HOBt to yield, after desilylation, the target hydroxamic acid.

合成路线图解说明:

Friedel Crafts acylation of indole (II) with tert-leucine N-carboxyanhydride (I) in the presence of AlCl3 gave aminoketone (III). Subsequent condensation of (III) with the malate building block (IV) in DMF afforded amide (V). Further deprotection of the tert-butyl ester of (V) by treatment with trifluoroacetic acid provided carboxylic acid (VI), which was coupled with O-tert-butyldimethylsilyl hydroxylamine (VII) in the presence of EDC and HOBt to yield, after desilylation, the target hydroxamic acid.

合成路线图解说明:

Condensation of N-(tert-butoxycarbonyl)phenylalanine (I) with phenyllithium furnished ketone (II). The N-Boc group of (II) was deprotected with HCl in dioxan to yield aminoketone (III), which was then condensed with the succinate building block (IV) in DMF to afford succinamide (V). Further deprotection of the tert-butyl ester of (V) by treatment with trifluoroacetic acid provided carboxylic acid (VI), which was coupled with O-tert-butyldimethylsilyl hydroxylamine (VII) in the presence of EDC and HOBt to yield, after desilylation, the target hydroxamic acid.

合成路线图解说明:

Condensation of N-(tert-butoxycarbonyl)phenylalanine methyl ester (I) with pyrrolyl magnesium bromide (generated from pyrrole (II) and MeMgBr) furnished ketone (III). The N-Boc group of (III) was deprotected with HCl in dioxan to yield aminoketone (IV), which was then condensed with the succinate building block (V) in DMF to afford succinamide (VI). Further deprotection of the tert-butyl ester of (VI) by treatment with trifluoroacetic acid provided carboxylic acid (VII), which was coupled with O-tert-butyldimethylsilyl hydroxylamine (VIII) in the presence of EDC and HOBt to yield, after desilylation, the target hydroxamic acid.

合成路线图解说明:

Condensation of N-(tert-butoxycarbonyl)phenylalanine methyl ester (I) with 2-thienyllithium (II) in THF at -78 C furnished racemized ketone (III). The N-Boc group of (III) was deprotected with HCl in dioxan to yield aminoketone (IV), which was then condensed with the succinate building block (V) in DMF to afford succinamide (VI). Further deprotection of the tert-butyl ester of (VI) by treatment with trifluoroacetic acid provided carboxylic acid (VII), which was coupled with O-tert-butyldimethylsilyl hydroxylamine (VIII) in the presence of EDC and HOBt to yield, after desilylation, the target hydroxamic acid.

合成路线图解说明:

Condensation of N-(tert-butoxycarbonyl)phenylalanine methyl ester (I) with 2-oxazolyllithium (II) in THF at -78 C furnished racemized ketone (III). The N-Boc group of (III) was deprotected with HCl in dioxan to yield aminoketone (IV), which was then condensed with the succinate building block (V) in DMF to afford succinamide (VI). Further deprotection of the tert-butyl ester of (VI) by treatment with trifluoroacetic acid provided carboxylic acid (VII), which was coupled with O-tert-butyldimethylsilyl hydroxylamine (VIII) in the presence of EDC and HOBt to yield, after desilylation, the target hydroxamic acid.

Drug Information Express,Drug R&D,Chemical Database,Patent Search.
Copyright © 2006-2026 Drug Future. All rights reserved.Contact Us