【药物名称】274150, GW-274150
化学结构式(Chemical Structure):
参考文献No.37072
标题:Nitric oxide synthase inhibitors
作者:Beams, R.M.; Frend, A.J.; Drysdale, M.J.; Franzman, K.W.; Hodson, H.F.; Rees, D.D.; Knowles, R.G.; Sawyer, D.A. (Glaxo Wellcome plc)
来源:EP 0958277; JP 2000504041; WO 9830537
合成路线图解说明:

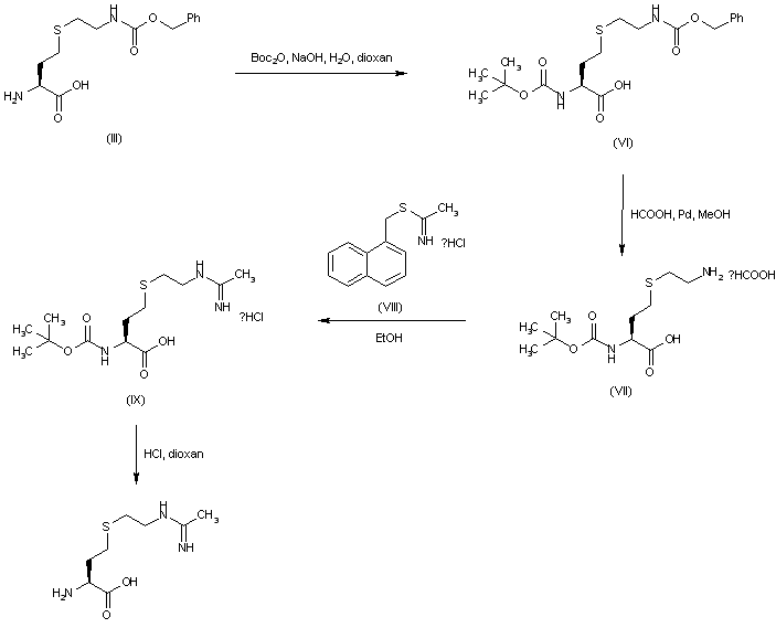
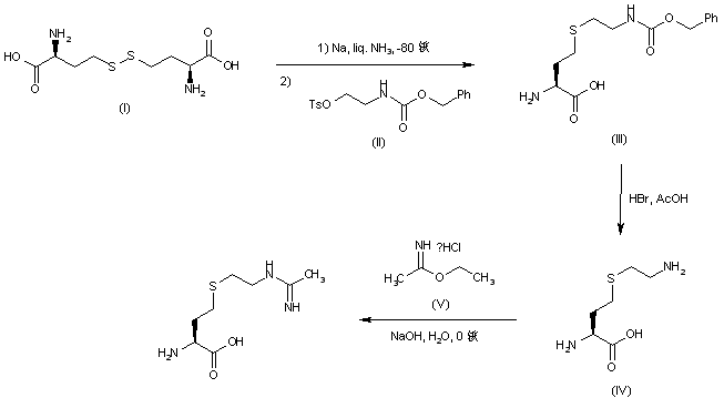
Reductive cleavage of L-homocystine (I) with sodium in liquid ammonia produced homocysteine, which was subsequently alkylated with 2-(N-benzyloxycarbonyl-amino)ethyl tosylate (II) to afford thioether (III). The benzyloxycarbonyl protecting group of (III) was cleaved with HBr to give diamine (IV). Finally, condensation with ethyl acetimidate (V) furnished the target amidine.

合成路线图解说明:

Alternatively, amino acid (III) was protected as the N-Boc derivative (VI), and the benzyloxycarbonyl group was then cleaved by transfer hydrogenolysis employing formic acid and palladium catalyst. The resulting amine (VII) was converted to amidine (IX) by reaction with S-(1-naphthylmethyl)thioacetimidate hydrochloride (VIII). The Boc protecting group of (VIII) was finally removed by acidic treatment.

合成路线图解说明:

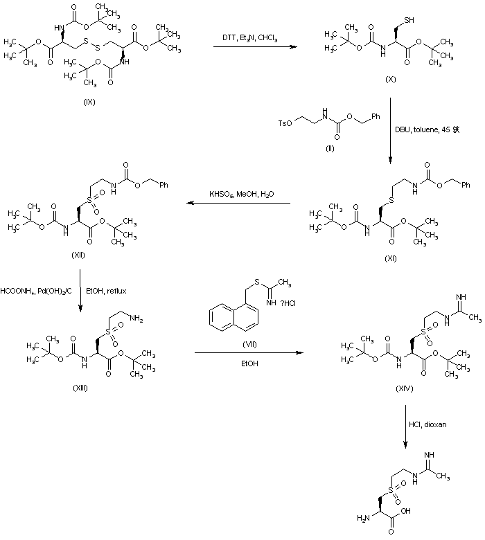
In a further procedure, N-Boc-L-homocysteine tert-butyl ester (XI) was prepared by reduction of N-Boc-homocystine tert-butyl ester (X) with dithiothreitol (DTT). Alkylation of thiol (XI) with tosylate (II) afforded thioether (XII). An alternative synthetic access to (XII) consisted in the esterification of carboxylic acid (VI), prepared as above, by means of either N,N-dimethylformamide di-O-t-butyl acetal or O-t-butyl 1,1,1-trichloroacetimidate. Transfer hydrogenolysis of (XII) using ammonium formate and palladium hydroxide on carbon removed the benzyloxycarbonyl group to furnish (XIII). This was converted to amidine (XIV) by treatment with S-(1-naphthylmethyl)thioacetimidate hydrochloride (VIII). Finally, deprotection of the Boc group and the tert-butyl ester of (XIV) by means of HCl in dioxan afforded the title compound.

参考文献No.576833
标题:Inhibition of inducible nitric oxide synthase by acetamidine derivatives of hetero-substituted lysine and homolysine
作者:Young, R.J.; Beams, R.M.; Carter, K.; Clark, H.A.; Coe, D.M.; Chambers, C.L.; Davies, P.I.; Dawson, J.; Drysdale, M.J.; Franzman, K.W.; French, C.; Hodgson, S.T.; Hodson, H.F.; Kleanthous, S.; Rider, P.; Sanders, D.; Sawyer, D.A.; Scott, K.J.; et al.
来源:Bioorg Med Chem Lett 2000,10(6),597
合成路线图解说明:

Reductive cleavage of L-homocystine (I) with sodium in liquid ammonia produced homocysteine, which was subsequently alkylated with 2-(N-benzyloxycarbonyl-amino)ethyl tosylate (II) to afford thioether (III). The benzyloxycarbonyl protecting group of (III) was cleaved with HBr to give diamine (IV). Finally, condensation with ethyl acetimidate (V) furnished the target amidine.

合成路线图解说明:

Alternatively, amino acid (III) was protected as the N-Boc derivative (VI), and the benzyloxycarbonyl group was then cleaved by transfer hydrogenolysis employing formic acid and palladium catalyst. The resulting amine (VII) was converted to amidine (IX) by reaction with S-(1-naphthylmethyl)thioacetimidate hydrochloride (VIII). The Boc protecting group of (VIII) was finally removed by acidic treatment.

合成路线图解说明:

In a further procedure, N-Boc-L-homocysteine tert-butyl ester (XI) was prepared by reduction of N-Boc-homocystine tert-butyl ester (X) with dithiothreitol (DTT). Alkylation of thiol (XI) with tosylate (II) afforded thioether (XII). An alternative synthetic access to (XII) consisted in the esterification of carboxylic acid (VI), prepared as above, by means of either N,N-dimethylformamide di-O-t-butyl acetal or O-t-butyl 1,1,1-trichloroacetimidate. Transfer hydrogenolysis of (XII) using ammonium formate and palladium hydroxide on carbon removed the benzyloxycarbonyl group to furnish (XIII). This was converted to amidine (XIV) by treatment with S-(1-naphthylmethyl)thioacetimidate hydrochloride (VIII). Finally, deprotection of the Boc group and the tert-butyl ester of (XIV) by means of HCl in dioxan afforded the title compound.

合成路线图解说明:

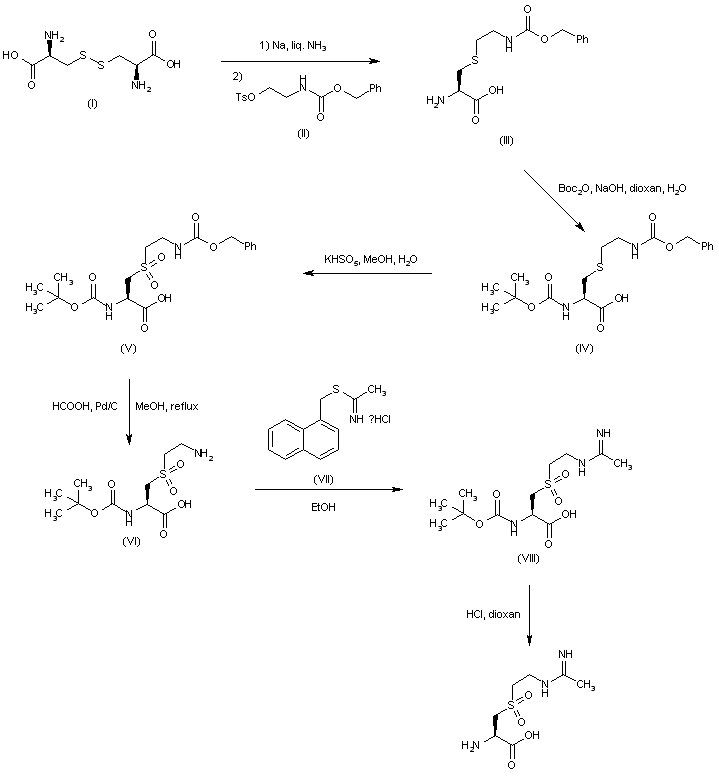
Reductive cleavage of L-cystine (I) with sodium in liquid ammonia produced cysteine, which was subsequently alkylated with 2-(N-benzyloxycarbonylamino)ethyl tosylate (II) to afford thioether (III). After protection of (III) as the N-Boc derivative (IV), sulfur oxidation by means of Oxone(R) produced sulfone (V). The benzyloxycarbonyl protecting group of (V) was then cleaved by transfer hydrogenolysis employing formic acid and palladium catalyst, and the resulting amine (VI) was converted to amidine (VIII) by reaction thioacetimidate (VII). The Boc protecting group of (VIII) was finally removed by acidic treatment.

合成路线图解说明:

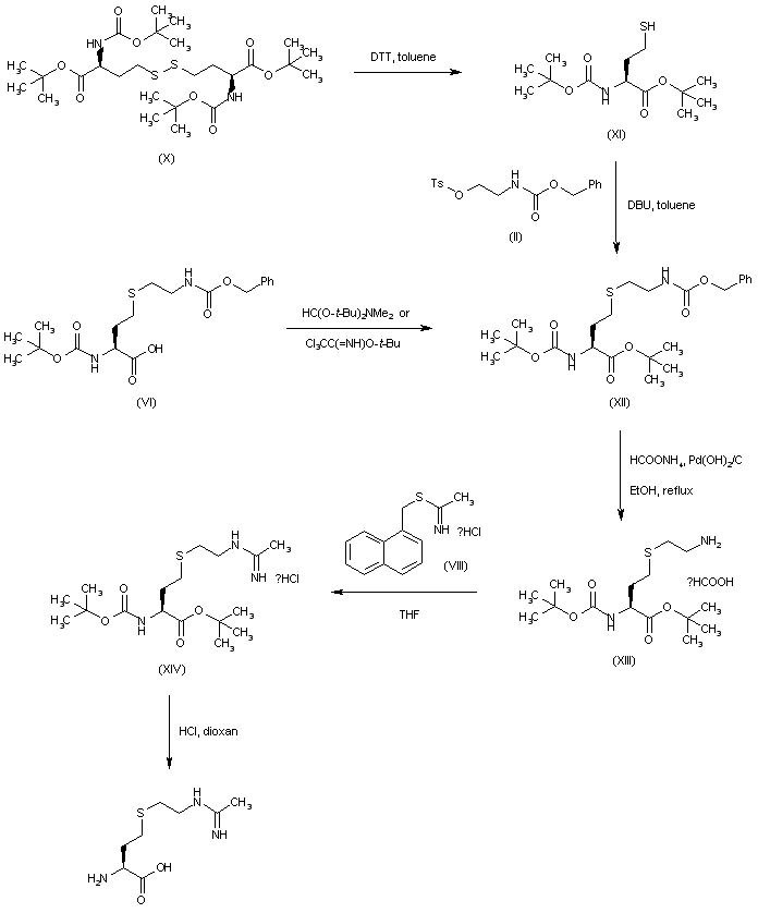
In a related procedure, N-Boc-L-cysteine tert-butyl ester (X) was prepared by reduction of N-Boc-cystine tert-butyl ester (IX) with dithiothreitol (DTT). Alkylation of thiol (X) with tosylate (II) afforded thioether (XI). After oxidation of (XI) to sulfone (XII), transfer hydrogenolysis using ammonium formate and palladium hydroxide on carbon removed the benzyloxycarbonyl group to furnish amine (XIII). This was converted to amidine (XIV) by treatment with thioacetimidate (VII). Finally, deprotection of the Boc group and the tert-butyl ester of (XIV) by means of HCl in dioxan afforded the title compound.

Drug Information Express,Drug R&D,Chemical Database,Patent Search.
Copyright © 2006-2026 Drug Future. All rights reserved.Contact Us