【药物名称】(-)-Cetirizine, Levocetirizine, Xusal, Xyzal
化学结构式(Chemical Structure):
参考文献No.39512
标题:Enantiomers of 1-[4-(chlorophenyl)phenylmethyl]-4-(methylphenyl)sulfonyl piperazine
作者:Bodson, G.; Gobert, J.; Cossement, E. (UCB SA)
来源:EP 0617028
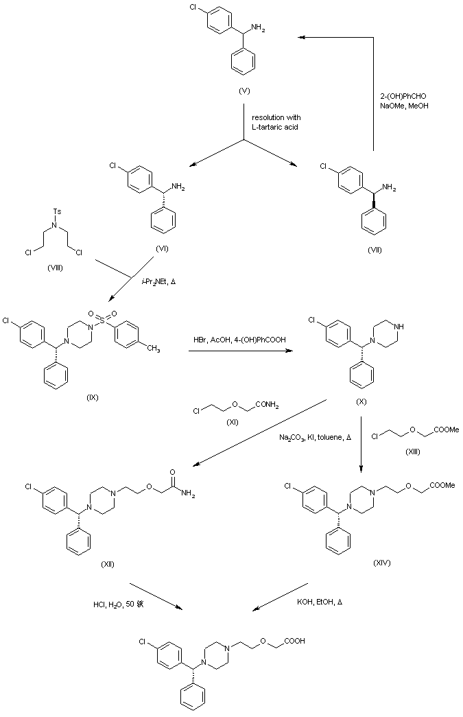
合成路线图解说明:

In a further procedure, racemic (4-chlorophenyl)phenylmethyl amine (V) was resolved by means of L-tartaric acid. The undesired (S)-enantiomer (VII) could be recovered by racemization to (V) upon treatment with 2-hydroxybenzaldehyde and NaOMe. The required (R)-enantiomer (VI) was condensed with N,N-bis(chloroethyl)-p-toluenesulfonamide (VIII) in refluxing diisopropylethylamine to provide the N-tosyl piperazine (IX). Deprotection of the p-toluenesulfonamide of (IX) was achieved by treatment with HBr in the presence of 4-hydroxybenzoic acid. The resulting piperazine (X) was alkylated with either (2-chloroethoxy)acetamide (XI) or methyl (2-chloroethoxy)acetate (XIII), affording the N-alkylated piperazines (XII) and (XIV), respectively. The title carboxylic acid was then obtained by hydrolysis of amide (XII) with aqueous HCl or, alternatively, by hydrolysis of ester (XIV) with ethanolic KOH.

参考文献No.39513
标题:Process for preparation of a 1-piperazine-ethoxyacetic acid
作者:Cossement, E.; Motte, G.; Gobert, J.; Bodson, G. (UCB SA)
来源:GB 2225321
合成路线图解说明:

The resolution of racemic 1-[(4-chlorophenyl)phenylmethyl]piperazine (I) with L-tartaric acid provided the required (R)-enantiomer (II), which was condensed with (2-chloroethoxy)acetonitrile (III) in the presence of Na2CO3 and KI in refluxing n-butanol to give the alkylated piperazine (IV). The nitrile group of (IV) was finally hydrolyzed by means of concentrated hydrochloric acid to yield the target carboxylic acid.

参考文献No.616140
标题:A large-scale synthesis of enantiomerically pure cetirizine dihydrochloride using preparative chiral HPLC
作者:Pflum, D.A.; et al.
来源:Org Process Res Dev 2001,5(2),110
合成路线图解说明:

The reaction of racemic cetiricine (I) with SOCl2 in toluene gives the acyl chloride (II), which is treated with ammonia to yield the corresponding racemic amide (III). The optical resolution of (III) by preparative chiral chromatography on a Chiralpak AD column affords the (R)-isomer (IV), which is treated with HCl in refluxing methanol to provide the chiral methyl ester (V). Finally, ester (V) is hydrolyzed with aqueous HCl to provide the chiral target compound. The hydrolysis of amide (IV) is not performed directly to the target acid owing to purification problems (separation of the ammonium chloride formed in the hydrolysis with HCl).

Drug Information Express,Drug R&D,Chemical Database,Patent Search.
Copyright © 2006-2026 Drug Future. All rights reserved.Contact Us