【药物名称】LY-339624
化学结构式(Chemical Structure):
参考文献No.37392
标题:Glutamic acid derivs. and pharmaceutical compsns. for the treatment of central nervous system disorders
作者:Rubio Esteban, A.; Pedregal Tercero, C. (Lilly SA)
来源:EP 0867430; ES 2133095; JP 1998279542
合成路线图解说明:

Treatment of ethyl N-Boc-(S)-pyroglutamate (I) with lithium hexamethyldisilazide in THF at -78 C, followed by aldol condensation of the resulting lithium enolate with cyclopentanone (II) in the presence of boron trifluoride etherate, furnished adduct (III). Dehydration of the alcohol group of (III) to produce olefin (IV) was achieved by treatment of (III) with methanesulfonyl chloride and triethylamine. Hydrolysis of the ester and lactam groups of (IV) by means of LiOH afforded diacid (V). The N-Boc group of (V) was finally cleaved with HCl in EtOH.

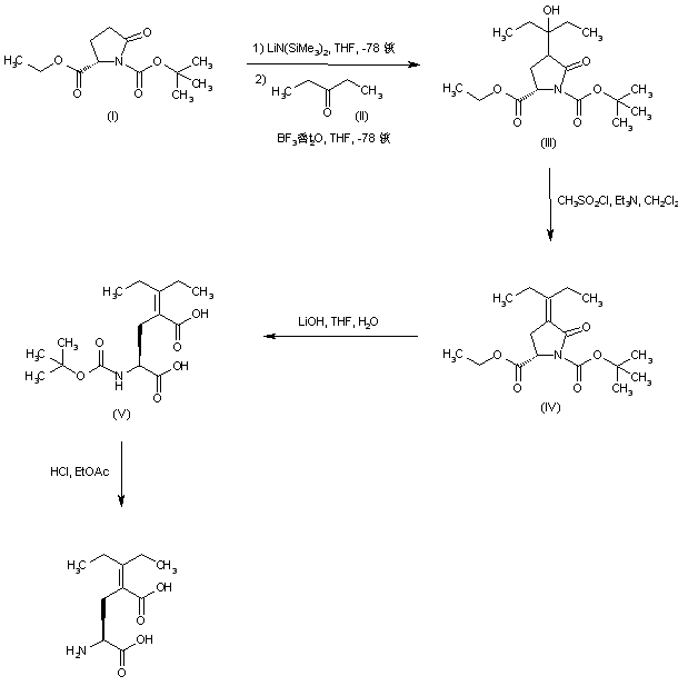
合成路线图解说明:

Treatment of ethyl N-Boc-(S)-pyroglutamate (I) with lithium hexamethyldisilazide in THF at -78 C, followed by aldol condensation of the resulting lithium enolate with 3-pentanone (II) in the presence of boron trifluoride etherate, furnished adduct (III). Dehydration of the alcohol group of (III) to produce olefin (IV) was achieved by treatment of (III) with methanesulfonyl chloride and triethylamine. Hydrolysis of the ester and lactam groups of (IV) by means of LiOH afforded diacid (V). The N-Boc group of (V) was finally cleaved with HCl in EtOH.

参考文献No.590862
标题:4-Alkylidenyl glutamic acids, potent and selective GluR5 agonists
作者:Baker, S.R.; Bleakman, D.; Ezquerra, J.; Ballyk, B.A.; Deverill, M.; Ho, K.; Kamboj, R.K.; Collado, I.; Dominguez, C.; Escribano, A.; Mateo, A.I.; Pedregal, C.; Rubio, A.
来源:Bioorg Med Chem Lett 2000,10(16),1807
合成路线图解说明:

Treatment of ethyl N-Boc-(S)-pyroglutamate (I) with lithium hexamethyldisilazide in THF at -78 C, followed by aldol condensation of the resulting lithium enolate with cyclopentanone (II) in the presence of boron trifluoride etherate, furnished adduct (III). Dehydration of the alcohol group of (III) to produce olefin (IV) was achieved by treatment of (III) with methanesulfonyl chloride and triethylamine. Hydrolysis of the ester and lactam groups of (IV) by means of LiOH afforded diacid (V). The N-Boc group of (V) was finally cleaved with HCl in EtOH.

合成路线图解说明:

Treatment of ethyl N-Boc-(S)-pyroglutamate (I) with lithium hexamethyldisilazide in THF at -78 C, followed by aldol condensation of the resulting lithium enolate with 3-pentanone (II) in the presence of boron trifluoride etherate, furnished adduct (III). Dehydration of the alcohol group of (III) to produce olefin (IV) was achieved by treatment of (III) with methanesulfonyl chloride and triethylamine. Hydrolysis of the ester and lactam groups of (IV) by means of LiOH afforded diacid (V). The N-Boc group of (V) was finally cleaved with HCl in EtOH.

Drug Information Express,Drug R&D,Chemical Database,Patent Search.
Copyright © 2006-2026 Drug Future. All rights reserved.Contact Us