【药物名称】
化学结构式(Chemical Structure):
参考文献No.470803
标题:Potent beta-lactam inhibitors of human cytomegalovirus protease
作者:Yoakim, C.; Ogilvie, W.W.; Cameron, D.R.; Chabot, C.; Grand-Maitre, C.; Guse, I.; Hache, B.; Kawai, S.; Naud, J.; O'Meara, J.A.; Plante, R.; Deziel, R.
来源:Antivir Chem Chemother 1998,9(5),379
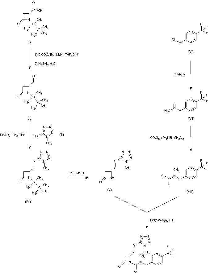
合成路线图解说明:

Silylated 4-oxoazetidine-2-carboxylic acid (I) was converted to the mixed anhydride with isobutyl chloroformate, and then reduced to alcohol (II) with NaBH4. Subsequent Mitsunobu coupling of (II) with mercaptotetrazole (III) provided thioether (IV). Desilylation of (IV) was then achieved by treatment with CsF in MeOH to give (V). Reaction of 4-(trifluoromethyl)benzyl chloride (VI) with methylamine afforded secondary amine (VII). This was reacted with phosgene and diisopropyl ethylamine to produce the carbamoyl chloride (VIII). Finally, condensation of this chloride with azetidinone (V) in the presence of lithium bis(trimethylsilyl)amide furnished the target urea.

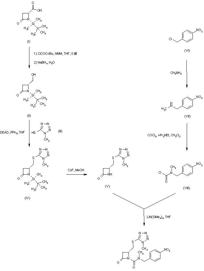
合成路线图解说明:

Silylated 4-oxoazetidine-2-carboxylic acid (I) was converted to the mixed anhydride with isobutyl chloroformate, and then reduced to alcohol (II) with NaBH4. Subsequent Mitsunobu coupling of (II) with mercaptotetrazole (III) provided thioether (IV). Desilylation of (IV) was then achieved by treatment with CsF in MeOH to give (V). Reaction of 4-nitrobenzyl chloride (VI) with methylamine afforded secondary amine (VII). This was reacted with phosgene and diisopropyl ethylamine to produce the carbamoyl chloride (VIII). Finally, condensation of this chloride with azetidinone (V) in the presence of lithium bis(trimethylsilyl)amide furnished the target urea.

Drug Information Express,Drug R&D,Chemical Database,Patent Search.
Copyright © 2006-2026 Drug Future. All rights reserved.Contact Us