【药物名称】Stampidine, Sampidine, STAMP, d4T-pBPMAP, HI-113
化学结构式(Chemical Structure):
参考文献No.41700
标题:Aryl phosphate derivatives of d4T having anti-HIV activity
作者:Uckun, F.M. (Parker Hughes Institute)
来源:WO 0000501
合成路线图解说明:

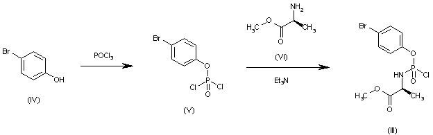
The intermediate phosphorochloridate (III) has been obtained as follows: The reaction of 4-bromophenol (IV) with POCl3 and triethylamine in ethyl ether gives the corresponding phosphorodichloridate (V), which is finally condensed with L-alanine methyl ester (VI) by means of triethylamine in dichloromethane.

参考文献No.470810
标题:D4T-5'-[p-Bromophenyl methoxyalaninyl phosphate] as a potent and non-toxic anti-human immunodeficiency virus agent
作者:Vig, R.; Venkatachalam, T.K.; Uckun, F.M.
来源:Antivir Chem Chemother 1998,9(5),445
合成路线图解说明:

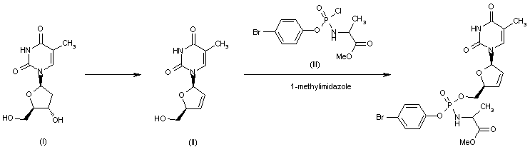
The dehydration of thymidine (I) by known methods (J Med Chem 1989, 32: 461) gives 2,3-anhydrothymidine (II), which is then esterifired with the phosphoryl chloride (III) by means of 1-methylimidazole in THF.

参考文献No.480170
标题:Enhancing effects of a mono-bromo substitution at the para position of the phenyl moiety on the metabolism and anti-HIV activity of d4T-phenyl methoxyalaninyl phosphate derivatives
作者:Venkatachalam, T.K.; Tai, H.-L.; Vig, R.; Chen, C.-L.; Jan, S.-T.; Uckun, F.M.
来源:Bioorg Med Chem Lett 1998,8(22),3121
合成路线图解说明:

The dehydration of thymidine (I) by known methods (J Med Chem 1989, 32: 461) gives 2,3-anhydrothymidine (II), which is then esterifired with the phosphoryl chloride (III) by means of 1-methylimidazole in THF.

Drug Information Express,Drug R&D,Chemical Database,Patent Search.
Copyright © 2006-2026 Drug Future. All rights reserved.Contact Us