【药物名称】
化学结构式(Chemical Structure):
参考文献No.31653
标题:Alpha-substituted pyrimidine-thioalkyl and alkylester compounds as inhibitors of viral reverse transcriptase
作者:Nugent, R.A.; et al. (Pharmacia & Upjohn AB)
来源:EP 0824524; WO 9635678
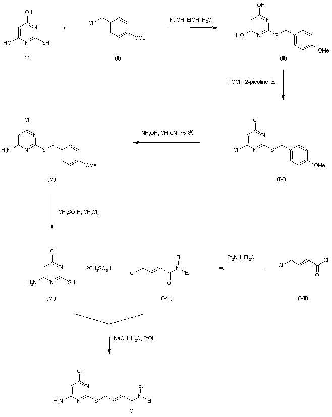
合成路线图解说明:

Alkylation of 4,6-dihydroxy-2-mercaptopyrimidine (I) with 4-methoxybenzyl chloride (II) provided methoxybenzyl sulfide (III). This was treated with POCl3 and 2-picoline to give dichloropyrimidine (IV). Then, ammonolysis with NH4OH in acetonitrile produced aminopyrimidine (V). Removal of the methoxybenzyl protecting group orf (V) was accomplished by treatment with methanesulfonic acid in CH2Cl2 to provide (VI). 4-Chlorocrotonyl chloride (VII) was condensed with diethylamine to yield chloro amide (VIII) (1). The title compound was then obtained by alkylation of mercaptopyrimidine (VI) with chloro amide (VIII) in the presence of NaOH in aqueous ethanol.

参考文献No.471979
标题:Pyrimidine thioethers: A novel class of HIV-1 reverse transcriptase inhibitors with activity against BHAP-resistant HIV
作者:Nugent, R.A.; Schlachter, S.T.; Murphy, M.J.; Cleek, G.J.; Poel, T.J.; Wishka, D.G.; Graber, D.R.; Yagi, Y.; Keiser, B.J.; Olmsted, R.A.; Kopta, L.A.; Swaney, S.M.; Poppe, S.M.; Morris, J.; Tarpley, W.G.; Thomas, R.C.
来源:J Med Chem 1998,41(20),3793
合成路线图解说明:

Alkylation of 4,6-dihydroxy-2-mercaptopyrimidine (I) with 4-methoxybenzyl chloride (II) provided methoxybenzyl sulfide (III). This was treated with POCl3 and 2-picoline to give dichloropyrimidine (IV). Then, ammonolysis with NH4OH in acetonitrile produced aminopyrimidine (V). Removal of the methoxybenzyl protecting group orf (V) was accomplished by treatment with methanesulfonic acid in CH2Cl2 to provide (VI). 4-Chlorocrotonyl chloride (VII) was condensed with diethylamine to yield chloro amide (VIII) (1). The title compound was then obtained by alkylation of mercaptopyrimidine (VI) with chloro amide (VIII) in the presence of NaOH in aqueous ethanol.

Drug Information Express,Drug R&D,Chemical Database,Patent Search.
Copyright © 2006-2026 Drug Future. All rights reserved.Contact Us