【药物名称】ST-1455(free base)
化学结构式(Chemical Structure):
参考文献No.471974
标题:New antipsychotic agents with serotonin and dopamine antagonist properties based on a pyrrolo[2,1-b][1,3]benzothiazepine structure
作者:Campiani, G.; Nacci, V.; Bechelli, S.; Ciani, S.M.; Garofalo, A.; Fiorini, I.; Wikstrom, H.; de Boer, P.; Liao, Y.; Tepper, P.G.; Cagnotto, A.; Mennini, T.
来源:J Med Chem 1998,41(20),3763
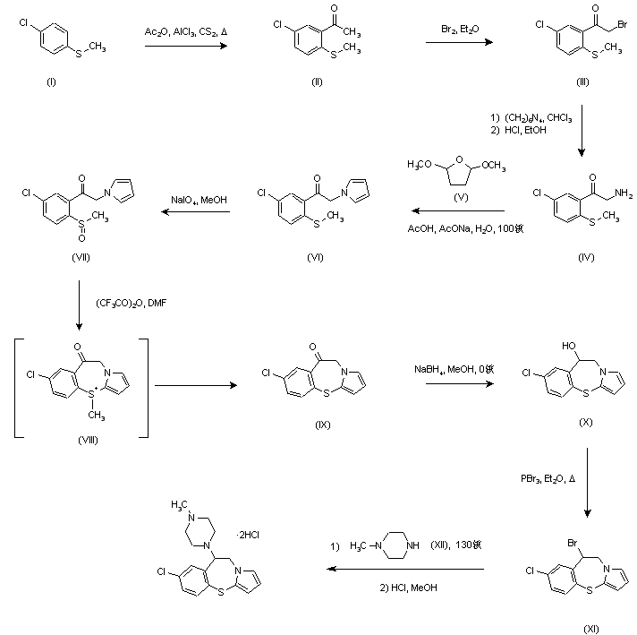
合成路线图解说明:

Friedel-Crafts acetylation of 4-chlorothioanisole (I) gave acetophenone (II), which was then brominated to afford the corresponding bromoketone (III). Further reaction of (III) with hexamethylenetetramine, followed by acid hydrolysis yielded the aminoketone (IV). The Clauson-Kaas reaction of amine (IV) with 2,5-dimethoxytetrahydrofuran (V) in the presence of AcOH-AcONa provided pyrrole (VI), and then the thioether function of (VI) was oxidized to sulfoxide (VII) with sodium periodate. The subsequent Pummerer cyclization using trifluoroacetic anhydride produced an intermediate tricyclic sulfonium salt (VIII) that, upon losing a methyl group, yielded the pyrrolobenzothiazepine (IX). Reduction of the ketone function of (IX) to alcohol (X) with NaBH4, followed by treatment with PBr3, furnished bromide (XI). Finally, displacement of the bromide of (XI) at 130 C with N-methylpiperazine (XII) provided the title compound, which was isolated as the dihydrochloride salt on treating with methanolic HCl.

Drug Information Express,Drug R&D,Chemical Database,Patent Search.
Copyright © 2006-2026 Drug Future. All rights reserved.Contact Us