【药物名称】PD-176252
化学结构式(Chemical Structure):
参考文献No.35971
标题:Non-peptide bombesin receptor antagonists
作者:Horwell, D.C.; Pritchard, M.C. (Pfizer Inc.)
来源:EP 0920424; WO 9807718
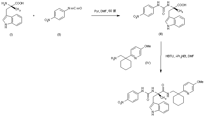
合成路线图解说明:

Condensation of (S)-alpha-methyl tryptophan (I) with 4-nitrophenyl isocyanate (II) produced urea (III). This was then coupled to amine (IV) using HBTU to yield the target amide.

Drug Information Express,Drug R&D,Chemical Database,Patent Search.
Copyright © 2006-2026 Drug Future. All rights reserved.Contact Us