【药物名称】
化学结构式(Chemical Structure):
参考文献No.472262
标题:Synthesis of boronic acid analogs of L-arginine as alternate substrates or inhibitors of nitric oxide synthase
作者:Lebarbier, C.; Carreaux, F.; Carboni, B.; Boucher, J.L.
来源:Bioorg Med Chem Lett 1998,8(18),2573
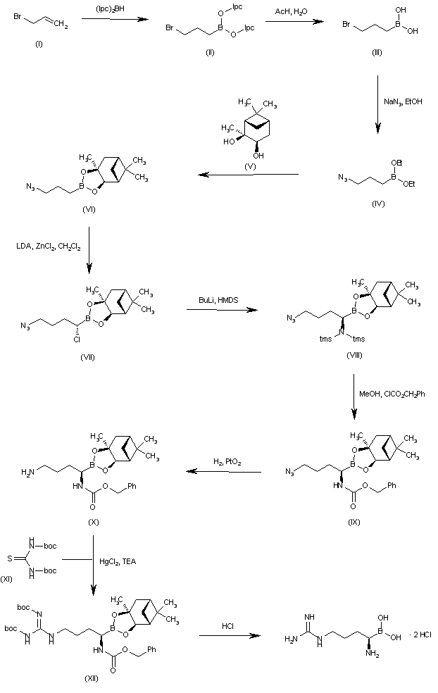
合成路线图解说明:

The hydroboration of allyl bromide (I) with diisopinocampheylborane gives the 3-bromopropylboronic ester (II), which by treatment with acetaldehyde and water yields the boronic acid (III). The reaction of (III) with NaN3 and ethanol affords 3-azidoboronic acid ethyl ester (IV), which is transesterified with optically active pipanediol (V) giving the cyclic ester (VI). The homologation of (VI) with LDA, ZnCl2 and dichloromethane in THF yields the alpha-chlorobutylboronic ester (VII), which is aminated with hexamethyldisylazane (HMDS) and BuLi to provide the silylated alpha-aminoboronic ester (VIII). The desilylation of (VIII) with methanol, and its protection with benzyl chloroformate gives the protected alpha-aminoboronic ester (IX). The hydrogenation of the azido group of (IX) with H2 over PtO2 affords the 4-aminobutylboronic ester (X), which is treated with N,N'-bis(tert-butoxycarbonyl)thiourea (XI), HgCl2 and TEA in DMF to give the guanidine derivative (XII). Finally, this compound is hydrolyzed and deprotected with refluxing 6N HCl.

参考文献No.582730
标题:Synthesis of a boronic acid analogue of L-ornithine
作者:Lebarbier, C.; et al.
来源:Synthesis 1996,1371
合成路线图解说明:

The hydroboration of allyl bromide (I) with diisopinocampheylborane gives the 3-bromopropylboronic ester (II), which by treatment with acetaldehyde and water yields the boronic acid (III). The reaction of (III) with NaN3 and ethanol affords 3-azidoboronic acid ethyl ester (IV), which is transesterified with optically active pipanediol (V) giving the cyclic ester (VI). The homologation of (VI) with LDA, ZnCl2 and dichloromethane in THF yields the alpha-chlorobutylboronic ester (VII), which is aminated with hexamethyldisylazane (HMDS) and BuLi to provide the silylated alpha-aminoboronic ester (VIII). The desilylation of (VIII) with methanol, and its protection with benzyl chloroformate gives the protected alpha-aminoboronic ester (IX). The hydrogenation of the azido group of (IX) with H2 over PtO2 affords the 4-aminobutylboronic ester (X), which is treated with N,N'-bis(tert-butoxycarbonyl)thiourea (XI), HgCl2 and TEA in DMF to give the guanidine derivative (XII). Finally, this compound is hydrolyzed and deprotected with refluxing 6N HCl.

Drug Information Express,Drug R&D,Chemical Database,Patent Search.
Copyright © 2006-2026 Drug Future. All rights reserved.Contact Us