【药物名称】SB-25314, SR-74829i
化学结构式(Chemical Structure):
参考文献No.37046
标题:Pharmaceutical aminophosphonic acid derivs.
作者:Nguyen, L.M.; Van Diep, V.; Phan, H.T.; Ife, R.J.; Bentzen, C.L.; Niesor, E.; Floret, S.; Azoulay, R. (SmithKline Beecham plc; Symphar SA)
来源:EP 0946572; WO 9828310
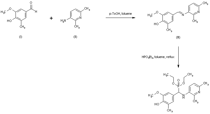
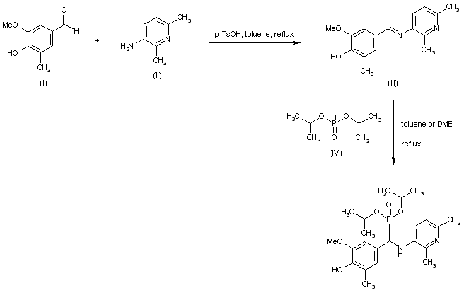
合成路线图解说明:

The title compound was obtained by condensation between 4-hydroxy-3-methoxy-5-methylbenzaldehyde (I) and 3-amino-2,6-dimethylpyridine (II), followed by addition of diisopropyl phosphite (IV) to yield the resulting imine (III).

合成路线图解说明:

Condensation of 4-hydroxy-3-methoxy-5-methylbenzaldehyde (I) with 3-amino-2,6-dimethylpyridine (II) affords imine (III). Subsequent addition of diethyl phosphite to imine (III) in refluxing toluene leads to the target phosphonate compound.

Drug Information Express,Drug R&D,Chemical Database,Patent Search.
Copyright © 2006-2026 Drug Future. All rights reserved.Contact Us