【药物名称】RPR-130401
化学结构式(Chemical Structure):
参考文献No.37059
标题:Farnesyl transferase inhibitors
作者:Dereu, N.; Sounigo-Thompson, F.; Commer鏾n, A.; Martin, J.-P.; Bourzat, J.-D.; Capet, M.; Cheve, M.; Mailliet, P. (Aventis Pharma SA)
来源:EP 0948483; WO 9829390
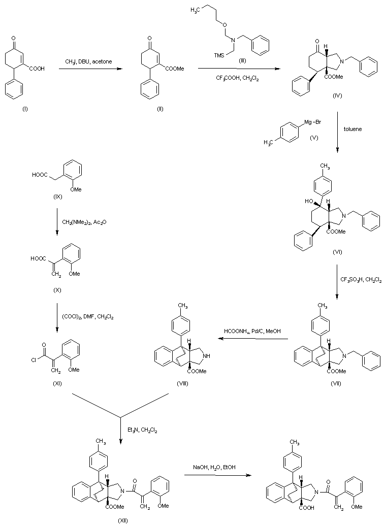
合成路线图解说明:

Treatment of 3-oxo-6-phenylcyclohex-1-ene-1-carboxylic acid (I) with methyl iodide and DBU afforded methyl ester (II). Subsequent cycloaddition of (II) with N-n-butoxymethyl-N-(trimethylsilyl)methyl benzylamine (III) in the presence of trifluoroacetic acid gave the octahydroisoindole (IV). Addition of p-tolylmagnesium bromide (V) to the keto group of (IV) produced carbinol (VI), which was converted to the tetracyclic system (VII) by intramolecular cyclization in the presence of trifluoromethanesulfonic acid. Cleavage of the N-benzyl of (VII) group to give (VIII) was effected by transfer hydrogenation with ammonium formate and Pd/C. On the other hand, condensation of (2-methoxyphenyl)acetic acid (IX) with bis(dimethylamino)methane, followed by treatment with acetic anhydride generated the 2-arylpropenoic acid (X), which was converted to acid chloride (XI) employing oxalyl chloride and a catalytic amount of DMF. Coupling of acid chloride (XI) with the tetracyclic amine (VIII) yielded the corresponding amide (XII). The methyl ester group of (XII) was finally hydrolyzed with NaOH to the title carboxylic acid.

Drug Information Express,Drug R&D,Chemical Database,Patent Search.
Copyright © 2006-2026 Drug Future. All rights reserved.Contact Us