【药物名称】
化学结构式(Chemical Structure):
参考文献No.15745
标题:Carbapenem derivs. having antibiotic activity, their preparation and their use
作者:Kawamoto, I.; Miyauchi, M.; Nakayama, E.; Endo, R.; Ohya, S.; Utsui, Y. (Sankyo Co., Ltd.)
来源:EP 0443883; JP 1992211083; US 5310735
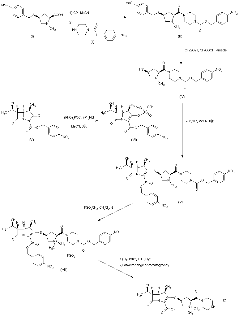
合成路线图解说明:

Mercaptoproline derivative (I) was condensed with protected piperazine (II) via activation with carbonyl diimidazole to afford amide (III). The 4-methoxybenzyl group of (III) was then removed with trifluoromethanesulfonic acid in the presence of anisole and trifluoroacetic acid, and the resulting mercaptan (IV) was condensed with carbapenem phosphate (VI), (prepared from ketone (V) and diphenylphosphorochloridate), to afford thioether (VII). N-Methylation was carried out using methyl fluorosulfonate to yield quaternary ammonium salt (VIII). Finally, the 4-nitrobenzyl ester and carbamate groups of (VIII) were eliminated by hydrogenation in the presence of Pd/C, and the target product was isolated by ion-exchange chromatography.

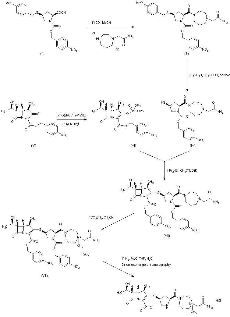
合成路线图解说明:

Mercaptoproline derivative (I) was condensed with N-(carbamoylmethyl)homopiperazine (II) via activation with carbonyl diimidazole to afford amide (III). The 4-methoxybenzyl group of (III) was then removed with trifluoromethanesulfonic acid in the presence of anisole and trifluoroacetic acid, and the resulting mercaptan (IV) was condensed with carbapenem phosphate (VI), (prepared from ketone (V) and diphenylphosphorochloridate), to afford thioether (VII). N-Methylation of (VII) was carried out using methyl fluorosulfonate to yield quaternary ammonium salt (VIII). Finally, the 4-nitrobenzyl ester and carbamate groups of (VIII) were eliminated by hydrogenation in the presence of Pd/C, and the target product was isolated by ion-exchange chromatography.

参考文献No.469492
标题:Synthesis and structure-activity relationships of 1beta-methylcarbapenems with quaternary ammonium side chains
作者:Ishikawa, K.; Kojima, K.; Miyauchi, M.; Endo, R.; Yasuda, H.; Kawamoto, I.
来源:J Antibiot 1998,51(8),757
合成路线图解说明:

Mercaptoproline derivative (I) was condensed with protected piperazine (II) via activation with carbonyl diimidazole to afford amide (III). The 4-methoxybenzyl group of (III) was then removed with trifluoromethanesulfonic acid in the presence of anisole and trifluoroacetic acid, and the resulting mercaptan (IV) was condensed with carbapenem phosphate (VI), (prepared from ketone (V) and diphenylphosphorochloridate), to afford thioether (VII). N-Methylation was carried out using methyl fluorosulfonate to yield quaternary ammonium salt (VIII). Finally, the 4-nitrobenzyl ester and carbamate groups of (VIII) were eliminated by hydrogenation in the presence of Pd/C, and the target product was isolated by ion-exchange chromatography.

合成路线图解说明:

Mercaptoproline derivative (I) was condensed with N-(carbamoylmethyl)homopiperazine (II) via activation with carbonyl diimidazole to afford amide (III). The 4-methoxybenzyl group of (III) was then removed with trifluoromethanesulfonic acid in the presence of anisole and trifluoroacetic acid, and the resulting mercaptan (IV) was condensed with carbapenem phosphate (VI), (prepared from ketone (V) and diphenylphosphorochloridate), to afford thioether (VII). N-Methylation of (VII) was carried out using methyl fluorosulfonate to yield quaternary ammonium salt (VIII). Finally, the 4-nitrobenzyl ester and carbamate groups of (VIII) were eliminated by hydrogenation in the presence of Pd/C, and the target product was isolated by ion-exchange chromatography.

Drug Information Express,Drug R&D,Chemical Database,Patent Search.
Copyright © 2006-2026 Drug Future. All rights reserved.Contact Us