【药物名称】S-31354
化学结构式(Chemical Structure):
参考文献No.37240
标题:Nouveaux d閞iv閟 de benz鑞sessulfonylamine, leur proc閐?depr閜aration et les compositions pharmaceutiques qui les contiennent
作者:Lavielle, G.; Cimetiere, B.; Verbeuren, T.; Simonet, S.; Descombes, J.-J. (ADIR et Cie.)
来源:EP 0864561
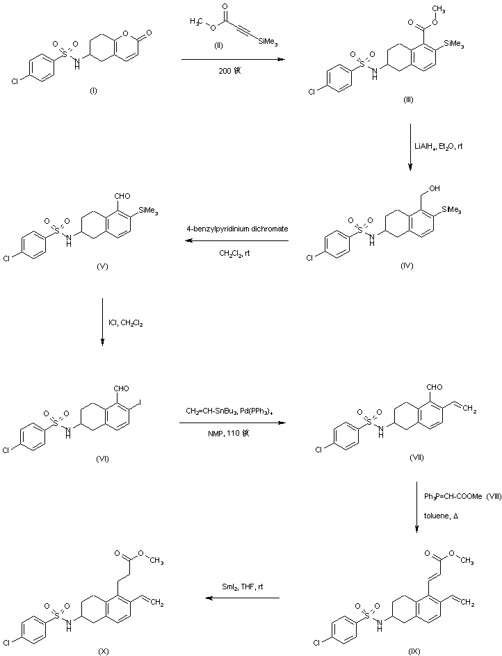
合成路线图解说明:

Diels-Alder condensation of benzopyran (I) with methyl (trimethylsilyl)propynoate (II) gave rise to tetrahydronaphthalene (III). After reduction of the ester group of (III) with LiAlH4, the resulting alcohol (IV) was further oxidized to aldehyde (V) by means of 4-benzylpyridinium dichromate. Treatment of (V) with iodine monochloride produced iodonaphthalene (VI). Subsequent reaction of (VI) with vinyl tributyltin and palladium tetrakis(triphenylphosphine) yielded the vinyl naphthalene (VII). Wittig reaction of (VIII with (carbomethoxymethylidene)triphenylphosphorane (VIII) gave the arylpropenoate ester (IX), which was reduced to the saturated ester (X) employing samarium iodide.

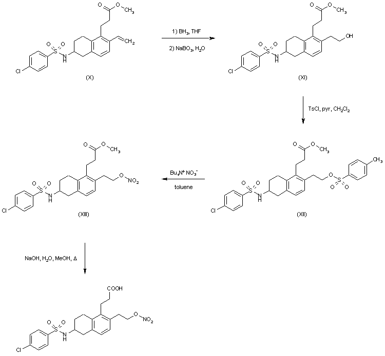
合成路线图解说明:

Hydroboration of the vinyl group of (X), followed by oxidative treatment with sodium perborate furnished alcohol (XI), which was further activated as the corresponding tosylate (XII). Displacement of the tosylate group of (XII) with tetrabutylammonium nitrate in toluene gave nitrate ester (XIII). The methyl ester group of (XIII) was finally hydrolyzed with NaOH to the target carboxylic acid.

Drug Information Express,Drug R&D,Chemical Database,Patent Search.
Copyright © 2006-2026 Drug Future. All rights reserved.Contact Us