【药物名称】
化学结构式(Chemical Structure):
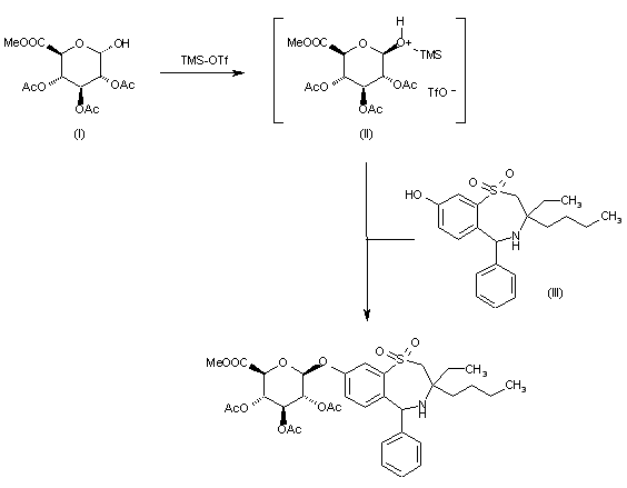
参考文献No.803863
标题:Carbohydrate prodrugs: potential use for in situ activation and drug delivery
作者:Walker, E.H.; Palomino, E.; Blumenthal, S.L.
来源:Drugs Fut 1991,16(11),1029
合成路线图解说明:

By condensation of D-glucopyranuronic acid methyl ester (I) with 3-butyl-3-ethyl-5-phenyl-2,3,4,5-tetrahydro-1,4-benzothiazepin-8-ol S,S-dioxide (III) by means of Tms-OTf.

Drug Information Express,Drug R&D,Chemical Database,Patent Search.
Copyright © 2006-2026 Drug Future. All rights reserved.Contact Us