【药物名称】TPI
化学结构式(Chemical Structure):
参考文献No.31193
标题:Uracil derivs., and antitumor effect potentiator and antitumor agent containing the same
作者:Yano, S.; Tada, Y.; Kazuno, H.; Sato, T.; Yamashita, J.; Suzuki, N.; Emura, T.; Fukushima, M.; Asao, T. (Taiho Pharmaceutical Co., Ltd.)
来源:EP 0763529; US 5744475; WO 9630346
合成路线图解说明:

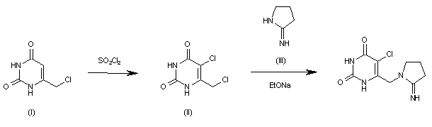
The chlorination of 6-(chloromethyl)uracil (I) with sulfuryl chloride in acetic acid gives 5-chloro-6-(chloromethyl)uracil (II), which is then condensed with 2-iminopyrrolidine (III) by means of sodium ethoxide in DMF.

参考文献No.36245
标题:Cancerous metastasis inhibitors containing uracil derivs.
作者:Miyadera, K.; Emura, T.; Wierzba, K.; Yamada, Y. (Taiho Pharmaceutical Co., Ltd.)
来源:EP 0884051; WO 9813045
合成路线图解说明:

The chlorination of 6-(chloromethyl)uracil (I) with sulfuryl chloride in acetic acid gives 5-chloro-6-(chloromethyl)uracil (II), which is then condensed with 2-iminopyrrolidine (III) by means of sodium ethoxide in DMF.

Drug Information Express,Drug R&D,Chemical Database,Patent Search.
Copyright © 2006-2026 Drug Future. All rights reserved.Contact Us