【药物名称】
化学结构式(Chemical Structure):
参考文献No.42710
标题:Amide and urea derivs.
作者:B鰐tcher, H.; Harting, J.; van Amsterdam, C.; Bartoszyk, G.; Greiner, H.; Rautenberg, W.; Matzen, L. (Merck Patent GmbH)
来源:DE 19756036
合成路线图解说明:

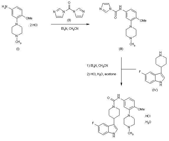
Treatment of 4-methoxy-3-(4-methylpiperazin-1-yl)aniline dihydrochloride (I) with 1,1'-carbonyldiimidazole (II) gave the intermediate imidazolide (III) which, upon treatment with 4-(5-fluoro-1H-indol-3-yl)piperidine (IV) afforded the unsymmetrical urea. Finally, treatment with HCl in acetone yielded the title hydrochloride salt.

参考文献No.570685
标题:5-HT reuptake inhibitors with 5-HT1B/1D antagonistic activity: A new approach toward efficient antidepressants
作者:Matzen, L.; van Amsterdam, C.; Rautenberg, W.; Greiner, H.E.; Harting, J.; Seyfried, C.AS.; B鰐tcher, H.
来源:J Med Chem 2000,43(6),1149
合成路线图解说明:

Treatment of 4-methoxy-3-(4-methylpiperazin-1-yl)aniline dihydrochloride (I) with 1,1'-carbonyldiimidazole (II) gave the intermediate imidazolide (III) which, upon treatment with 4-(5-fluoro-1H-indol-3-yl)piperidine (IV) afforded the unsymmetrical urea. Finally, treatment with HCl in acetone yielded the title hydrochloride salt.

Drug Information Express,Drug R&D,Chemical Database,Patent Search.
Copyright © 2006-2026 Drug Future. All rights reserved.Contact Us